Вот результат:
Код и картинки доступны
Метод наименьших квадратов — это математическая процедура составления линейного уравнения, максимально соответствующего набору упорядоченных пар, путем нахождения значений для a и b, коэффициентов в уравнении прямой. Цель метода наименьших квадратов состоит в минимизации общей квадратичной ошибки между значениями y и ŷ. Если для каждой точки мы определяем ошибку ŷ, метод наименьших квадратов минимизирует:
где n = число упорядоченных пар вокруг линии. максимально соответствующей данным.
Это понятие проиллюстрировано на рисунке
Судя по рисунку, линия, максимально соответствующая данным, линия регрессии, минимизирует общую квадратичную ошибку четырех точек на графике. Я покажу вам, как определять это с помощью метода наименьших квадратов на следующем примере.
Представьте себе молодую пару, которые, с недавних пор, живут вместе и совместно делят столик для косметических принадлежностей в ванной. Молодой человек начал замечать, что половина его столика неумолимо сокращается, сдавая свои позиции муссам для волос и соевым комплексам. За последние несколько месяцев парень внимательно следил за тем, с какой скоростью увеличивается число предметов на ее части стола. В таблице ниже представлено число предметов девушки на столике в ванной, накопившихся за последние несколько месяцев.
Поскольку своей целью мы определили задачу узнать, увеличивается ли со временем число предметов, «Месяц» будет независимой переменной, а «Число предметов» — зависимой.
С помощью метода наименьших квадратов определяем уравнение, максимально соответствующее данным, путем вычисления значений a, отрезка на оси y, и b, наклона линии:
a = y ср — bx ср
где x ср — среднее значение x, независимой переменной, y ср — среднее значение y, независимой переменной.
В таблице ниже суммированы необходимые для этих уравнений вычисления.
Кривая эффекта для нашего примера с ванной будет определяться следующим уравнением:
Поскольку наше уравнение имеет положительный наклон — 0.976, парень имеет доказательство того, что число предметов на столике со временем увеличивается со средней скоростью 1 предмет в месяц. На графике представлена кривая эффекта с упорядоченными парами.
Ожидание в отношении числа предметов в течение следующего полугода (месяца 16) будет вычисляться так:
ŷ = 5.13 + 0.976x = 5.13 + 0.976(16) ~ 20.7 = 21 предмет
Так что, пора нашему герою предпринимать какие-нибудь действия.
Функция ТЕНДЕНЦИЯ в Excel
Как вы уже, наверное, догадались в Excel имеется функция для расчета значения по методу наименьших квадратов.
Это функция называется ТЕНДЕНЦИЯ. Синтаксис у нее следующий:
ТЕНДЕНЦИЯ (известные значения Y; известные значения X; новые значения X; конст)
известные значения Y – массив зависимых переменных, в нашем случае, количество предметов на столике
известные значения X – массив независимых переменных, в нашем случае это месяц
новые значения X – новые значения X (месяца) для которого функция ТЕНДЕНЦИЯ
возвращает ожидаемое значение зависимых переменных (количество предметов)
конст — необязательный. Логическое значение, которое указывает, требуется ли, чтобы константа b была равна 0.
Например, на рисунке показана функция ТЕНДЕНЦИЯ, используемая для определения ожидаемого количества предметов на столике в ванной для 16-го месяца.
Метод наименьших квадратов (МНК, англ. Ordinary Least Squares, OLS
)
— математический метод, применяемый для решения различных задач, основанный на минимизации суммы квадратов отклонений некоторых функций от искомых переменных. Он может использоваться для «решения» переопределенных систем уравнений (когда количество уравнений превышает количество неизвестных), для поиска решения в случае обычных (не переопределенных) нелинейных систем уравнений, для аппроксимации точечных значений некоторой функции. МНК является одним из базовых методов регрессионного анализа для оценки неизвестных параметров регрессионных моделей по выборочным данным.
Энциклопедичный YouTube
1
/
5
✪ Метод наименьших квадратов. Тема
✪ Митин И. В. — Обработка результатов физ. эксперимента — Метод наименьших квадратов (Лекция 4)
✪ Метод наименьших квадратов, урок 1/2. Линейная функция
✪ Эконометрика. Лекция 5 .Метод наименьших квадратов
✪ Метод наименьших квадратов. Ответы
Субтитры
История
До начала XIX в. учёные не имели определённых правил для решения системы уравнений , в которой число неизвестных меньше, чем число уравнений; до этого времени употреблялись частные приёмы, зависевшие от вида уравнений и от остроумия вычислителей, и потому разные вычислители, исходя из тех же данных наблюдений, приходили к различным выводам. Гауссу (1795) принадлежит первое применение метода, а Лежандр (1805) независимо открыл и опубликовал его под современным названием (фр. Méthode des moindres quarrés
) . Лаплас связал метод с теорией вероятностей , а американский математик Эдрейн (1808) рассмотрел его теоретико-вероятностные приложения . Метод распространён и усовершенствован дальнейшими изысканиями Энке , Бесселя , Ганзена и других.
Сущность метода наименьших квадратов
Пусть
x
{\displaystyle x} — набор
n
{\displaystyle n} неизвестных переменных (параметров),
f
i
(x)
{\displaystyle f_{i}(x)}
, ,
m
>
n
{\displaystyle m>n}
— совокупность функций от этого набора переменных. Задача заключается в подборе таких значений
x
{\displaystyle x}, чтобы значения этих функций были максимально близки к некоторым значениям
y
i
{\displaystyle y_{i}}. По существу речь идет о «решении» переопределенной системы уравнений
f
i
(x)
=
y
i
{\displaystyle f_{i}(x)=y_{i}}
,
i
=
1
,
…
,
m
{\displaystyle i=1,\ldots ,m}
в указанном смысле максимальной близости левой и правой частей системы. Сущность МНК заключается в выборе в качестве «меры близости» суммы квадратов отклонений левых и правых частей
|
f
i
(x)
−
y
i
|
{\displaystyle |f_{i}(x)-y_{i}|}
. Таким образом, сущность МНК может быть выражена следующим образом:
∑
i
e
i
2
=
∑
i
(y
i
−
f
i
(x))
2
→
min
x
{\displaystyle \sum _{i}e_{i}^{2}=\sum _{i}(y_{i}-f_{i}(x))^{2}\rightarrow \min _{x}}
.
В случае, если система уравнений имеет решение, то минимум суммы квадратов будет равен нулю и могут быть найдены точные решения системы уравнений аналитически или, например, различными численными методами оптимизации. Если система переопределена, то есть, говоря нестрого, количество независимых уравнений больше количества искомых переменных, то система не имеет точного решения и метод наименьших квадратов позволяет найти некоторый «оптимальный» вектор
x
{\displaystyle x} в смысле максимальной близости векторов
y
{\displaystyle y} и
f
(x)
{\displaystyle f(x)}
или максимальной близости вектора отклонений
e
{\displaystyle e} к нулю (близость понимается в смысле евклидова расстояния).
Пример — система линейных уравнений
В частности, метод наименьших квадратов может использоваться для «решения» системы линейных уравнений
A
x
=
b
{\displaystyle Ax=b}
,
где
A
{\displaystyle A} прямоугольная матрица размера
m
×
n
,
m
>
n
{\displaystyle m\times n,m>n}
(т.е. число строк матрицы A больше количества искомых переменных).
Такая система уравнений в общем случае не имеет решения. Поэтому эту систему можно «решить» только в смысле выбора такого вектора
x
{\displaystyle x}, чтобы минимизировать «расстояние» между векторами
A
x
{\displaystyle Ax} и
b
{\displaystyle b}. Для этого можно применить критерий минимизации суммы квадратов разностей левой и правой частей уравнений системы, то есть
(A
x
−
b)
T
(A
x
−
b)
→
min
{\displaystyle (Ax-b)^{T}(Ax-b)\rightarrow \min }
. Нетрудно показать, что решение этой задачи минимизации приводит к решению следующей системы уравнений
A
T
A
x
=
A
T
b
⇒
x
=
(A
T
A)
−
1
A
T
b
{\displaystyle A^{T}Ax=A^{T}b\Rightarrow x=(A^{T}A)^{-1}A^{T}b}
.
МНК в регрессионном анализе (аппроксимация данных)
Пусть имеется
n
{\displaystyle n} значений некоторой переменной
y
{\displaystyle y} (это могут быть результаты наблюдений, экспериментов и т. д.) и соответствующих переменных
x
{\displaystyle x}. Задача заключается в том, чтобы взаимосвязь между
y
{\displaystyle y} и
x
{\displaystyle x} аппроксимировать некоторой функцией , известной с точностью до некоторых неизвестных параметров
b
{\displaystyle b}, то есть фактически найти наилучшие значения параметров
b
{\displaystyle b}, максимально приближающие значения
f
(x
,
b)
{\displaystyle f(x,b)}
к фактическим значениям
y
{\displaystyle y}. Фактически это сводится к случаю «решения» переопределенной системы уравнений относительно
b
{\displaystyle b}:
F
(x
t
,
b)
=
y
t
,
t
=
1
,
…
,
n
{\displaystyle f(x_{t},b)=y_{t},t=1,\ldots ,n}
.
В регрессионном анализе и в частности в эконометрике используются вероятностные модели зависимости между переменными
Y
t
=
f
(x
t
,
b)
+
ε
t
{\displaystyle y_{t}=f(x_{t},b)+\varepsilon _{t}}
,
где
ε
t
{\displaystyle \varepsilon _{t}}
— так называемые случайные ошибки модели.
Соответственно, отклонения наблюдаемых значений
y
{\displaystyle y} от модельных
f
(x
,
b)
{\displaystyle f(x,b)}
предполагается уже в самой модели. Сущность МНК (обычного, классического) заключается в том, чтобы найти такие параметры
b
{\displaystyle b}, при которых сумма квадратов отклонений (ошибок, для регрессионных моделей их часто называют остатками регрессии)
e
t
{\displaystyle e_{t}} будет минимальной:
b
^
O
L
S
=
arg
min
b
R
S
S
(b)
{\displaystyle {\hat {b}}_{OLS}=\arg \min _{b}RSS(b)}
,
где
R
S
S
{\displaystyle RSS}
— англ. Residual Sum of Squares
определяется как:
R
S
S
(b)
=
e
T
e
=
∑
t
=
1
n
e
t
2
=
∑
t
=
1
n
(y
t
−
f
(x
t
,
b))
2
{\displaystyle RSS(b)=e^{T}e=\sum _{t=1}^{n}e_{t}^{2}=\sum _{t=1}^{n}(y_{t}-f(x_{t},b))^{2}}
.
В общем случае решение этой задачи может осуществляться численными методами оптимизации (минимизации). В этом случае говорят о нелинейном МНК (NLS или NLLS — англ. Non-Linear Least Squares
). Во многих случаях можно получить аналитическое решение. Для решения задачи минимизации необходимо найти стационарные точки функции
R
S
S
(b)
{\displaystyle RSS(b)}
, продифференцировав её по неизвестным параметрам
b
{\displaystyle b}, приравняв производные к нулю и решив полученную систему уравнений:
∑
t
=
1
n
(y
t
−
f
(x
t
,
b))
∂
f
(x
t
,
b)
∂
b
=
0
{\displaystyle \sum _{t=1}^{n}(y_{t}-f(x_{t},b)){\frac {\partial f(x_{t},b)}{\partial b}}=0}
.
МНК в случае линейной регрессии
Пусть регрессионная зависимость является линейной:
y
t
=
∑
j
=
1
k
b
j
x
t
j
+
ε
=
x
t
T
b
+
ε
t
{\displaystyle y_{t}=\sum _{j=1}^{k}b_{j}x_{tj}+\varepsilon =x_{t}^{T}b+\varepsilon _{t}}
.
Пусть y — вектор-столбец наблюдений объясняемой переменной, а
X
{\displaystyle X} — это
(n
×
k)
{\displaystyle ({n\times k})}
-матрица наблюдений факторов (строки матрицы — векторы значений факторов в данном наблюдении, по столбцам — вектор значений данного фактора во всех наблюдениях). Матричное представление линейной модели имеет вид:
y
=
X
b
+
ε
{\displaystyle y=Xb+\varepsilon }
.
Тогда вектор оценок объясняемой переменной и вектор остатков регрессии будут равны
y
^
=
X
b
,
e
=
y
−
y
^
=
y
−
X
b
{\displaystyle {\hat {y}}=Xb,\quad e=y-{\hat {y}}=y-Xb}
.
соответственно сумма квадратов остатков регрессии будет равна
R
S
S
=
e
T
e
=
(y
−
X
b)
T
(y
−
X
b)
{\displaystyle RSS=e^{T}e=(y-Xb)^{T}(y-Xb)}
.
Дифференцируя эту функцию по вектору параметров
b
{\displaystyle b} и приравняв производные к нулю, получим систему уравнений (в матричной форме):
(X
T
X)
b
=
X
T
y
{\displaystyle (X^{T}X)b=X^{T}y}
.
В расшифрованной матричной форме эта система уравнений выглядит следующим образом:
(∑
x
t
1
2
∑
x
t
1
x
t
2
∑
x
t
1
x
t
3
…
∑
x
t
1
x
t
k
∑
x
t
2
x
t
1
∑
x
t
2
2
∑
x
t
2
x
t
3
…
∑
x
t
2
x
t
k
∑
x
t
3
x
t
1
∑
x
t
3
x
t
2
∑
x
t
3
2
…
∑
x
t
3
x
t
k
⋮
⋮
⋮
⋱
⋮
∑
x
t
k
x
t
1
∑
x
t
k
x
t
2
∑
x
t
k
x
t
3
…
∑
x
t
k
2)
(b
1
b
2
b
3
⋮
b
k)
=
(∑
x
t
1
y
t
∑
x
t
2
y
t
∑
x
t
3
y
t
⋮
∑
x
t
k
y
t)
,
{\displaystyle {\begin{pmatrix}\sum x_{t1}^{2}&\sum x_{t1}x_{t2}&\sum x_{t1}x_{t3}&\ldots &\sum x_{t1}x_{tk}\\\sum x_{t2}x_{t1}&\sum x_{t2}^{2}&\sum x_{t2}x_{t3}&\ldots &\sum x_{t2}x_{tk}\\\sum x_{t3}x_{t1}&\sum x_{t3}x_{t2}&\sum x_{t3}^{2}&\ldots &\sum x_{t3}x_{tk}\\\vdots &\vdots &\vdots &\ddots &\vdots \\\sum x_{tk}x_{t1}&\sum x_{tk}x_{t2}&\sum x_{tk}x_{t3}&\ldots &\sum x_{tk}^{2}\\\end{pmatrix}}{\begin{pmatrix}b_{1}\\b_{2}\\b_{3}\\\vdots \\b_{k}\\\end{pmatrix}}={\begin{pmatrix}\sum x_{t1}y_{t}\\\sum x_{t2}y_{t}\\\sum x_{t3}y_{t}\\\vdots \\\sum x_{tk}y_{t}\\\end{pmatrix}},}где все суммы берутся по всем допустимым значениям
t
{\displaystyle t}.
Если в модель включена константа (как обычно), то
x
t
1
=
1
{\displaystyle x_{t1}=1}
при всех
t
{\displaystyle t}, поэтому в левом верхнем углу матрицы системы уравнений находится количество наблюдений
n
{\displaystyle n}, а в остальных элементах первой строки и первого столбца — просто суммы значений переменных:
∑
x
t
j
{\displaystyle \sum x_{tj}}
и первый элемент правой части системы —
∑
y
t
{\displaystyle \sum y_{t}}
.
Решение этой системы уравнений и дает общую формулу МНК-оценок для линейной модели:
b
^
O
L
S
=
(X
T
X)
−
1
X
T
y
=
(1
n
X
T
X)
−
1
1
n
X
T
y
=
V
x
−
1
C
x
y
{\displaystyle {\hat {b}}_{OLS}=(X^{T}X)^{-1}X^{T}y=\left({\frac {1}{n}}X^{T}X\right)^{-1}{\frac {1}{n}}X^{T}y=V_{x}^{-1}C_{xy}}
.
Для аналитических целей оказывается полезным последнее представление этой формулы (в системе уравнений при делении на n, вместо сумм фигурируют средние арифметические). Если в регрессионной модели данные центрированы, то в этом представлении первая матрица имеет смысл выборочной ковариационной матрицы факторов, а вторая — вектор ковариаций факторов с зависимой переменной. Если кроме того данные ещё и нормированы на СКО (то есть в конечном итоге стандартизированы
), то первая матрица имеет смысл выборочной корреляционной матрицы факторов, второй вектор — вектора выборочных корреляций факторов с зависимой переменной.
Немаловажное свойство МНК-оценок для моделей с константой
— линия построенной регрессии проходит через центр тяжести выборочных данных, то есть выполняется равенство:
y
¯
=
b
1
^
+
∑
j
=
2
k
b
^
j
x
¯
j
{\displaystyle {\bar {y}}={\hat {b_{1}}}+\sum _{j=2}^{k}{\hat {b}}_{j}{\bar {x}}_{j}}
.
В частности, в крайнем случае, когда единственным регрессором является константа, получаем, что МНК-оценка единственного параметра (собственно константы) равна среднему значению объясняемой переменной. То есть среднее арифметическое, известное своими хорошими свойствами из законов больших чисел, также является МНК-оценкой — удовлетворяет критерию минимума суммы квадратов отклонений от неё.
Простейшие частные случаи
В случае парной линейной регрессии
y
t
=
a
+
b
x
t
+
ε
t
{\displaystyle y_{t}=a+bx_{t}+\varepsilon _{t}}
, когда оценивается линейная зависимость одной переменной от другой, формулы расчета упрощаются (можно обойтись без матричной алгебры). Система уравнений имеет вид:
(1
x
¯
x
¯
x
2
¯)
(a
b)
=
(y
¯
x
y
¯)
{\displaystyle {\begin{pmatrix}1&{\bar {x}}\\{\bar {x}}&{\bar {x^{2}}}\\\end{pmatrix}}{\begin{pmatrix}a\\b\\\end{pmatrix}}={\begin{pmatrix}{\bar {y}}\\{\overline {xy}}\\\end{pmatrix}}}
.
Отсюда несложно найти оценки коэффициентов:
{
b
^
=
Cov
(x
,
y)
Var
(x)
=
x
y
¯
−
x
¯
y
¯
x
2
¯
−
x
¯
2
,
a
^
=
y
¯
−
b
x
¯
.
{\displaystyle {\begin{cases}{\hat {b}}={\frac {\mathop {\textrm {Cov}} (x,y)}{\mathop {\textrm {Var}} (x)}}={\frac {{\overline {xy}}-{\bar {x}}{\bar {y}}}{{\overline {x^{2}}}-{\overline {x}}^{2}}},\\{\hat {a}}={\bar {y}}-b{\bar {x}}.\end{cases}}}
Несмотря на то что в общем случае модели с константой предпочтительней, в некоторых случаях из теоретических соображений известно, что константа
a
{\displaystyle a} должна быть равна нулю. Например, в физике зависимость между напряжением и силой тока имеет вид
U
=
I
⋅
R
{\displaystyle U=I\cdot R}
; замеряя напряжение и силу тока, необходимо оценить сопротивление. В таком случае речь идёт о модели
y
=
b
x
{\displaystyle y=bx}
. В этом случае вместо системы уравнений имеем единственное уравнение
(∑
x
t
2)
b
=
∑
x
t
y
t
{\displaystyle \left(\sum x_{t}^{2}\right)b=\sum x_{t}y_{t}}
.
Следовательно, формула оценки единственного коэффициента имеет вид
B
^
=
∑
t
=
1
n
x
t
y
t
∑
t
=
1
n
x
t
2
=
x
y
¯
x
2
¯
{\displaystyle {\hat {b}}={\frac {\sum _{t=1}^{n}x_{t}y_{t}}{\sum _{t=1}^{n}x_{t}^{2}}}={\frac {\overline {xy}}{\overline {x^{2}}}}}
.
Случай полиномиальной модели
Если данные аппроксимируются полиномиальной функцией регрессии одной переменной
f
(x)
=
b
0
+
∑
i
=
1
k
b
i
x
i
{\displaystyle f(x)=b_{0}+\sum \limits _{i=1}^{k}b_{i}x^{i}}
, то, воспринимая степени
x
i
{\displaystyle x^{i}} как независимые факторы для каждого
i
{\displaystyle i} можно оценить параметры модели исходя из общей формулы оценки параметров линейной модели. Для этого в общую формулу достаточно учесть, что при такой интерпретации
x
t
i
x
t
j
=
x
t
i
x
t
j
=
x
t
i
+
j
{\displaystyle x_{ti}x_{tj}=x_{t}^{i}x_{t}^{j}=x_{t}^{i+j}}
и
x
t
j
y
t
=
x
t
j
y
t
{\displaystyle x_{tj}y_{t}=x_{t}^{j}y_{t}}
. Следовательно, матричные уравнения в данном случае примут вид:
(n
∑
n
x
t
…
∑
n
x
t
k
∑
n
x
t
∑
n
x
i
2
…
∑
m
x
i
k
+
1
⋮
⋮
⋱
⋮
∑
n
x
t
k
∑
n
x
t
k
+
1
…
∑
n
x
t
2
k)
[
b
0
b
1
⋮
b
k
]
=
[
∑
n
y
t
∑
n
x
t
y
t
⋮
∑
n
x
t
k
y
t
]
.
{\displaystyle {\begin{pmatrix}n&\sum \limits _{n}x_{t}&\ldots &\sum \limits _{n}x_{t}^{k}\\\sum \limits _{n}x_{t}&\sum \limits _{n}x_{i}^{2}&\ldots &\sum \limits _{m}x_{i}^{k+1}\\\vdots &\vdots &\ddots &\vdots \\\sum \limits _{n}x_{t}^{k}&\sum \limits _{n}x_{t}^{k+1}&\ldots &\sum \limits _{n}x_{t}^{2k}\end{pmatrix}}{\begin{bmatrix}b_{0}\\b_{1}\\\vdots \\b_{k}\end{bmatrix}}={\begin{bmatrix}\sum \limits _{n}y_{t}\\\sum \limits _{n}x_{t}y_{t}\\\vdots \\\sum \limits _{n}x_{t}^{k}y_{t}\end{bmatrix}}.}
Статистические свойства МНК-оценок
В первую очередь, отметим, что для линейных моделей МНК-оценки являются линейными оценками, как это следует из вышеприведённой формулы. Для несмещенности МНК-оценок необходимо и достаточно выполнения важнейшего условия регрессионного анализа : условное по факторам математическое ожидание случайной ошибки должно быть равно нулю. Данное условие, в частности, выполнено, если
- математическое ожидание случайных ошибок равно нулю, и
- факторы и случайные ошибки — независимые случайные величины .
Второе условие — условие экзогенности факторов — принципиальное. Если это свойство не выполнено, то можно считать, что практически любые оценки будут крайне неудовлетворительными: они не будут даже состоятельными (то есть даже очень большой объём данных не позволяет получить качественные оценки в этом случае). В классическом случае делается более сильное предположение о детерминированности факторов, в отличие от случайной ошибки, что автоматически означает выполнение условия экзогенности. В общем случае для состоятельности оценок достаточно выполнения условия экзогенности вместе со сходимостью матрицы
V
x
{\displaystyle V_{x}} к некоторой невырожденной матрице при увеличении объёма выборки до бесконечности.
Для того, чтобы кроме состоятельности и несмещенности , оценки (обычного) МНК были ещё и эффективными (наилучшими в классе линейных несмещенных оценок) необходимо выполнение дополнительных свойств случайной ошибки:
Данные предположения можно сформулировать для ковариационной матрицы вектора случайных ошибок
V
(ε)
=
σ
2
I
{\displaystyle V(\varepsilon)=\sigma ^{2}I}
.
Линейная модель, удовлетворяющая таким условиям, называется классической
. МНК-оценки для классической линейной регрессии являются несмещёнными , состоятельными и наиболее эффективными оценками в классе всех линейных несмещённых оценок (в англоязычной литературе иногда употребляют аббревиатуру BLUE
(Best Linear Unbiased Estimator
) — наилучшая линейная несмещённая оценка; в отечественной литературе чаще приводится теорема Гаусса - Маркова). Как нетрудно показать, ковариационная матрица вектора оценок коэффициентов будет равна:
V
(b
^
O
L
S)
=
σ
2
(X
T
X)
−
1
{\displaystyle V({\hat {b}}_{OLS})=\sigma ^{2}(X^{T}X)^{-1}}
.
Эффективность означает, что эта ковариационная матрица является «минимальной» (любая линейная комбинация коэффициентов, и в частности сами коэффициенты, имеют минимальную дисперсию), то есть в классе линейных несмещенных оценок оценки МНК-наилучшие. Диагональные элементы этой матрицы — дисперсии оценок коэффициентов — важные параметры качества полученных оценок. Однако рассчитать ковариационную матрицу невозможно, поскольку дисперсия случайных ошибок неизвестна. Можно доказать, что несмещённой и состоятельной (для классической линейной модели) оценкой дисперсии случайных ошибок является величина:
S
2
=
R
S
S
/
(n
−
k)
{\displaystyle s^{2}=RSS/(n-k)}
.
Подставив данное значение в формулу для ковариационной матрицы и получим оценку ковариационной матрицы. Полученные оценки также являются несмещёнными и состоятельными . Важно также то, что оценка дисперсии ошибок (а значит и дисперсий коэффициентов) и оценки параметров модели являются независимыми случайными величинами, что позволяет получить тестовые статистики для проверки гипотез о коэффициентах модели.
Необходимо отметить, что если классические предположения не выполнены, МНК-оценки параметров не являются наиболее эффективными
и, где
W
{\displaystyle W} — некоторая симметрическая положительно определенная весовая матрица. Обычный МНК является частным случаем данного подхода, когда весовая матрица пропорциональна единичной матрице. Как известно, для симметрических матриц (или операторов) существует разложение
W
=
P
T
P
{\displaystyle W=P^{T}P}
. Следовательно, указанный функционал можно представить следующим образом
e
T
P
T
P
e
=
(P
e)
T
P
e
=
e
∗
T
e
∗
{\displaystyle e^{T}P^{T}Pe=(Pe)^{T}Pe=e_{*}^{T}e_{*}}
, то есть этот функционал можно представить как сумму квадратов некоторых преобразованных «остатков».
Таким образом, можно выделить класс методов наименьших квадратов — LS-методы (Least Squares).
Доказано (теорема Айткена), что для обобщенной линейной регрессионной модели (в которой на ковариационную матрицу случайных ошибок не налагается никаких ограничений) наиболее эффективными (в классе линейных несмещенных оценок) являются оценки т. н. обобщенного МНК (ОМНК, GLS — Generalized Least Squares)
— LS-метода с весовой матрицей, равной обратной ковариационной матрице случайных ошибок:
W
=
V
ε
−
1
{\displaystyle W=V_{\varepsilon }^{-1}}
.
Можно показать, что формула ОМНК-оценок параметров линейной модели имеет вид
B
^
G
L
S
=
(X
T
V
−
1
X)
−
1
X
T
V
−
1
y
{\displaystyle {\hat {b}}_{GLS}=(X^{T}V^{-1}X)^{-1}X^{T}V^{-1}y}
.
Ковариационная матрица этих оценок соответственно будет равна
V
(b
^
G
L
S)
=
(X
T
V
−
1
X)
−
1
{\displaystyle V({\hat {b}}_{GLS})=(X^{T}V^{-1}X)^{-1}}
.
Фактически сущность ОМНК заключается в определенном (линейном) преобразовании (P) исходных данных и применении обычного МНК к преобразованным данным. Цель этого преобразования — для преобразованных данных случайные ошибки уже удовлетворяют классическим предположениям.
Взвешенный МНК
В случае диагональной весовой матрицы (а значит и ковариационной матрицы случайных ошибок) имеем так называемый взвешенный МНК (WLS — Weighted Least Squares). В данном случае минимизируется взвешенная сумма квадратов остатков модели, то есть каждое наблюдение получает «вес», обратно пропорциональный дисперсии случайной ошибки в данном наблюдении:
e
T
W
e
=
∑
t
=
1
n
e
t
2
σ
t
2
{\displaystyle e^{T}We=\sum _{t=1}^{n}{\frac {e_{t}^{2}}{\sigma _{t}^{2}}}}
. Фактически данные преобразуются взвешиванием наблюдений (делением на величину, пропорциональную предполагаемому стандартному отклонению случайных ошибок), а к взвешенным данным применяется обычный МНК.
ISBN 978-5-7749-0473-0 .
История математических терминов, понятий, обозначений: словарь-справочник. — 3-е изд.. — М. : ЛКИ, 2008. — 248 с. — ISBN 978-5-382-00839-4 .
И.В Митин, Русаков В.С. Анализ и обработка экспериментальных данных- 5-е издание- 24с.
Пример.
Экспериментальные
данные о значениях переменных х
и у
приведены
в таблице.
В
результате их выравнивания получена
функция
Используя
метод
наименьших квадратов
,
аппроксимировать эти данные линейной
зависимостью y=ax+b
(найти параметры а
и b
).
Выяснить, какая из двух линий лучше (в
смысле метода наименьших квадратов)
выравнивает экспериментальные данные.
Сделать чертеж.
Суть метода наименьших квадратов (мнк).
Задача
заключается в нахождении коэффициентов
линейной зависимости, при которых
функция двух переменных а
и b
принимает
наименьшее значение. То есть, при данныха
и b
сумма квадратов отклонений экспериментальных
данных от найденной прямой будет
наименьшей. В этом вся суть метода
наименьших квадратов.
Таким
образом, решение примера сводится к
нахождению экстремума функции двух
переменных.
Вывод формул для нахождения коэффициентов.
Составляется
и решается система из двух уравнений с
двумя неизвестными. Находим частные
производные функции
по
переменныма
и b
,
приравниваем эти производные к нулю.
Решаем
полученную систему уравнений любым
методом (например методом
подстановки
или методом
Крамера
)
и получаем формулы для нахождения
коэффициентов по методу наименьших
квадратов (МНК).
При
данных а
и
b
функция
принимает
наименьшее значение. Доказательство
этого факта приведенониже
по тексту в конце страницы
.
Вот
и весь метод наименьших квадратов.
Формула для нахождения параметра a
содержит суммы
,,,и
параметрn
— количество экспериментальных данных.
Значения этих сумм рекомендуем вычислять
отдельно. Коэффициент b
находится после вычисления a
.
Пришло
время вспомнить про исходый пример.
Решение.
В
нашем примере n=5
. Заполняем
таблицу для удобства вычисления сумм,
которые входят в формулы искомых
коэффициентов.
Значения
в четвертой строке таблицы получены
умножением значений 2-ой строки на
значения 3-ей строки для каждого номера
i
.
Значения
в пятой строке таблицы получены
возведением в квадрат значений 2-ой
строки для каждого номера i
.
Значения
последнего столбца таблицы – это суммы
значений по строкам.
Используем
формулы метода наименьших квадратов
для нахождения коэффициентов а
и b
.
Подставляем в них соответствующие
значения из последнего столбца таблицы:
Следовательно,
y = 0.165x+2.184
— искомая аппроксимирующая прямая.
Осталось
выяснить какая из линий y
= 0.165x+2.184
или
лучше
аппроксимирует исходные данные, то есть
произвести оценку методом наименьших
квадратов.
Оценка погрешности метода наименьших квадратов.
Для
этого требуется вычислить суммы квадратов
отклонений исходных данных от этих
линий
и,
меньшее значение соответствует линии,
которая лучше в смысле метода наименьших
квадратов аппроксимирует исходные
данные.
Так
как
,
то прямаяy
= 0.165x+2.184
лучше приближает исходные данные.
Графическая иллюстрация метода наименьших квадратов (мнк).
На
графиках все прекрасно видно. Красная
линия – это найденная прямая y
= 0.165x+2.184
,
синяя линия – это
,
розовые точки – это исходные данные.
На
практике при моделировании различных
процессов — в частности, экономических,
физических, технических, социальных —
широко используются те или иные способы
вычисления приближенных значений
функций по известным их значениям в
некоторых фиксированных точках.
Такого
рода задачи приближения функций часто
возникают:
при построении
приближенных формул для вычисления
значений характерных величин исследуемого
процесса по табличным данным, полученным
в результате эксперимента;
при численном
интегрировании, дифференцировании,
решении дифференциальных уравнений и
т. д.;
при необходимости
вычисления значений функций в
промежуточных точках рассматриваемого
интервала;
при определении
значений характерных величин процесса
за пределами рассматриваемого интервала,
в частности при прогнозировании.
Если
для моделирования некоторого процесса,
заданного таблицей, построить функцию,
приближенно описывающую данный процесс
на основе метода наименьших квадратов,
она будет называться аппроксимирующей
функцией (регрессией), а сама задача
построения аппроксимирующих функций
— задачей аппроксимации.
В
данной статье рассмотрены возможности
пакета MS Excel для решения такого рода
задач, кроме того, приведены методы и
приемы построения (создания) регрессий
для таблично заданных функций (что
является основой регрессионного
анализа).
В
Excel для построения регрессий имеются
две возможности.
Добавление
выбранных регрессий (линий тренда —
trendlines) в диаграмму, построенную на
основе таблицы данных для исследуемой
характеристики процесса (доступно лишь
при наличии построенной диаграммы);
Использование
встроенных статистических функций
рабочего листа Excel, позволяющих получать
регрессии (линии тренда) непосредственно
на основе таблицы исходных данных.
Добавление
линий тренда в диаграмму
Для
таблицы данных, описывающих некоторый
процесс и представленных диаграммой,
в Excel имеется эффективный инструмент
регрессионного анализа, позволяющий:
строить на основе
метода наименьших квадратов и добавлять
в диаграмму пять типов регрессий,
которые с той или иной степенью точности
моделируют исследуемый процесс;
добавлять к
диаграмме уравнение построенной
регрессии;
определять степень
соответствия выбранной регрессии
отображаемым на диаграмме данным.
На
основе данных диаграммы Excel позволяет
получать линейный, полиномиальный,
логарифмический, степенной, экспоненциальный
типы регрессий, которые задаются
уравнением:
y
= y(x)
где
x — независимая переменная, которая часто
принимает значения последовательности
натурального ряда чисел (1; 2; 3; …) и
производит, например, отсчет времени
протекания исследуемого процесса
(характеристики).
1
.
Линейная регрессия хороша при моделировании
характеристик, значения которых
увеличиваются или убывают с постоянной
скоростью. Это наиболее простая в
построении модель исследуемого процесса.
Она строится в соответствии с уравнением:
y
= mx + b
где
m — тангенс угла наклона линейной регрессии
к оси абсцисс; b — координата точки
пересечения линейной регрессии с осью
ординат.
2
.
Полиномиальная линия тренда полезна
для описания характеристик, имеющих
несколько ярко выраженных экстремумов
(максимумов и минимумов). Выбор степени
полинома определяется количеством
экстремумов исследуемой характеристики.
Так, полином второй степени может хорошо
описать процесс, имеющий только один
максимум или минимум; полином третьей
степени — не более двух экстремумов;
полином четвертой степени — не более
трех экстремумов и т. д.
В
этом случае линия тренда строится в
соответствии с уравнением:
y
= c0 + c1x + c2x2 + c3x3 + c4x4 + c5x5 + c6x6
где
коэффициенты c0, c1, c2,… c6 — константы,
значения которых определяются в ходе
построения.
3
.
Логарифмическая линия тренда с успехом
применяется при моделировании
характеристик, значения которых вначале
быстро меняются, а затем постепенно
стабилизируются.
y
= c ln(x) + b
4
.
Степенная линия тренда дает хорошие
результаты, если значения исследуемой
зависимости характеризуются постоянным
изменением скорости роста. Примером
такой зависимости может служить график
равноускоренного движения автомобиля.
Если среди данных встречаются нулевые
или отрицательные значения, использовать
степенную линию тренда нельзя.
Строится
в соответствии с уравнением:
y
= c xb
где
коэффициенты b, с — константы.
5
.
Экспоненциальную линию тренда следует
использовать в том случае, если скорость
изменения данных непрерывно возрастает.
Для данных, содержащих нулевые или
отрицательные значения, этот вид
приближения также неприменим.
Строится
в соответствии с уравнением:
y
= c ebx
где
коэффициенты b, с — константы.
При
подборе линии тренда Excel автоматически
рассчитывает значение величины R2,
которая характеризует достоверность
аппроксимации: чем ближе значение R2 к
единице, тем надежнее линия тренда
аппроксимирует исследуемый процесс.
При необходимости значение R2 всегда
можно отобразить на диаграмме.
Определяется
по формуле:
Для
добавления линии тренда к ряду данных
следует:
активизировать
построенную на основе ряда данных
диаграмму, т. е. щелкнуть в пределах
области диаграммы. В главном меню
появится пункт Диаграмма;
после щелчка на
этом пункте на экране появится меню, в
котором следует выбрать команду Добавить
линию тренда.
Эти
же действия легко реализуются, если
навести указатель мыши на график,
соответствующий одному из рядов данных,
и щелкнуть правой кнопкой мыши; в
появившемся контекстном меню выбрать
команду Добавить линию тренда. На экране
появится диалоговое окно Линия тренда
с раскрытой вкладкой Тип (рис. 1).
После
этого необходимо:
Выбрать
на вкладке Тип необходимый тип линии
тренда (по умолчанию выбирается тип
Линейный). Для типа Полиномиальная в
поле Степень следует задать степень
выбранного полинома.
1
.
В поле Построен на ряде перечислены все
ряды данных рассматриваемой диаграммы.
Для добавления линии тренда к конкретному
ряду данных следует в поле Построен на
ряде выбрать его имя.
При
необходимости, перейдя на вкладку
Параметры (рис. 2), можно для линии тренда
задать следующие параметры:
изменить название
линии тренда в поле Название
аппроксимирующей (сглаженной) кривой.
задать количество
периодов (вперед или назад) для прогноза
в поле Прогноз;
вывести в область
диаграммы уравнение линии тренда, для
чего следует включить флажок показать
уравнение на диаграмме;
вывести в область
диаграммы значение достоверности
аппроксимации R2, для чего следует
включить флажок поместить на диаграмму
величину достоверности аппроксимации
(R^2);
задать точку
пересечения линии тренда с осью Y, для
чего следует включить флажок пересечение
кривой с осью Y в точке;
щелкнуть на кнопке
OK, чтобы закрыть диалоговое окно.
Для
того, чтобы начать редактирование уже
построенной линии тренда, существует
три способа:
воспользоваться
командой Выделенная линия тренда из
меню Формат, предварительно выбрав
линию тренда;
выбрать команду
Формат линии тренда из контекстного
меню, которое вызывается щелчком правой
кнопки мыши по линии тренда;
двойным щелчком
по линии тренда.
На
экране появится диалоговое окно Формат
линии тренда (рис. 3), содержащее три
вкладки: Вид, Тип, Параметры, причем
содержимое последних двух полностью
совпадает с аналогичными вкладками
диалогового окна Линия тренда (рис.1-2).
На вкладке Вид, можно задать тип линии,
ее цвет и толщину.
Для
удаления уже построенной линии тренда
следует выбрать удаляемую линию тренда
и нажать клавишу Delete.
Достоинствами
рассмотренного инструмента регрессионного
анализа являются:
относительная
легкость построения на диаграммах
линии тренда без создания для нее
таблицы данных;
достаточно широкий
перечень типов предложенных линий
трендов, причем в этот перечень входят
наиболее часто используемые типы
регрессии;
возможность
прогнозирования поведения исследуемого
процесса на произвольное (в пределах
здравого смысла) количество шагов
вперед, а также назад;
возможность
получения уравнения линии тренда в
аналитическом виде;
возможность, при
необходимости, получения оценки
достоверности проведенной аппроксимации.
К
недостаткам можно отнести следующие
моменты:
построение линии
тренда осуществляется лишь при наличии
диаграммы, построенной на ряде данных;
процесс формирования
рядов данных для исследуемой характеристики
на основе полученных для нее уравнений
линий тренда несколько загроможден:
искомые уравнения регрессий обновляются
при каждом изменении значений исходного
ряда данных, но только в пределах области
диаграммы, в то время как ряд данных,
сформированный на основе старого
уравнения линии тренда, остается без
изменения;
в отчетах сводных
диаграмм при изменении представления
диаграммы или связанного отчета сводной
таблицы имеющиеся линии тренда не
сохраняются, то есть до проведения
линий тренда или другого форматирования
отчета сводных диаграмм следует
убедиться, что макет отчета удовлетворяет
необходимым требованиям.
Линиями
тренда можно дополнить ряды данных,
представленные на диаграммах типа
график, гистограмма, плоские ненормированные
диаграммы с областями, линейчатые,
точечные, пузырьковые и биржевые.
Нельзя
дополнить линиями тренда ряды данных
на объемных, нормированных, лепестковых,
круговых и кольцевых диаграммах.
Использование
встроенных функций Excel
В
Excel имеется также инструмент регрессионного
анализа для построения линий тренда
вне области диаграммы. Для этой цели
можно использовать ряд статистических
функций рабочего листа, однако все они
позволяют строить лишь линейные или
экспоненциальные регрессии.
В
Excel имеется несколько функций для
построения линейной регрессии, в
частности:
-
НАКЛОН и ОТРЕЗОК.
ТЕНДЕНЦИЯ;
А
также несколько функций для построения
экспоненциальной линии тренда, в
частности:
Следует
отметить, что приемы построения регрессий
с помощью функций ТЕНДЕНЦИЯ и РОСТ
практически совпадают. То же самое можно
сказать и о паре функций ЛИНЕЙН и
ЛГРФПРИБЛ. Для четырех этих функций при
создании таблицы значений используются
такие возможности Excel, как формулы
массивов, что несколько загромождает
процесс построения регрессий. Заметим
также, что построение линейной регрессии,
на наш взгляд, легче всего осуществить
с помощью функций НАКЛОН и ОТРЕЗОК, где
первая из них определяет угловой
коэффициент линейной регрессии, а вторая
— отрезок, отсекаемый регрессией на оси
ординат.
Достоинствами
инструмента встроенных функций для
регрессионного анализа являются:
достаточно простой
однотипный процесс формирования рядов
данных исследуемой характеристики для
всех встроенных статистических функций,
задающих линии тренда;
стандартная
методика построения линий тренда на
основе сформированных рядов данных;
возможность
прогнозирования поведения исследуемого
процесса на необходимое количество
шагов вперед или назад.
А
к недостаткам относится то, что в Excel
нет встроенных функций для создания
других (кроме линейного и экспоненциального)
типов линий тренда. Это обстоятельство
часто не позволяет подобрать достаточно
точную модель исследуемого процесса,
а также получить близкие к реальности
прогнозы. Кроме того, при использовании
функций ТЕНДЕНЦИЯ и РОСТ не известны
уравнения линий тренда.
Следует
отметить, что авторы не ставили целью
статьи изложение курса регрессионного
анализа с той или иной степенью полноты.
Основная ее задача — на конкретных
примерах показать возможности пакета
Excel при решении задач аппроксимации;
продемонстрировать, какими эффективными
инструментами для построения регрессий
и прогнозирования обладает Excel;
проиллюстрировать, как относительно
легко такие задачи могут быть решены
даже пользователем, не владеющим
глубокими знаниями регрессионного
анализа.
Примеры решения
конкретных задач
Рассмотрим
решение конкретных задач с помощью
перечисленных инструментов пакета
Excel.
Задача
1
С
таблицей данных о прибыли автотранспортного
предприятия за 1995-2002 гг. необходимо
выполнить следующие действия.
Построить диаграмму.
В диаграмму
добавить линейную и полиномиальную
(квадратичную и кубическую) линии
тренда.
Используя уравнения
линий тренда, получить табличные данные
по прибыли предприятия для каждой линии
тренда за 1995-2004 г.г.
Составить прогноз
по прибыли предприятия на 2003 и 2004 гг.
Решение
задачи
В диапазон ячеек
A4:C11 рабочего листа Excel вводим рабочую
таблицу, представленную на рис. 4.
Выделив диапазон
ячеек В4:С11, строим диаграмму.
Активизируем
построенную диаграмму и по описанной
выше методике после выбора типа линии
тренда в диалоговом окне Линия тренда
(см. рис. 1) поочередно добавляем в
диаграмму линейную, квадратичную и
кубическую линии тренда. В этом же
диалоговом окне открываем вкладку
Параметры (см. рис. 2), в поле Название
аппроксимирующей (сглаженной) кривой
вводим наименование добавляемого
тренда, а в поле Прогноз вперед на:
периодов задаем значение 2, так как
планируется сделать прогноз по прибыли
на два года вперед. Для вывода в области
диаграммы уравнения регрессии и значения
достоверности аппроксимации R2 включаем
флажки показывать уравнение на экране
и поместить на диаграмму величину
достоверности аппроксимации (R^2). Для
лучшего визуального восприятия изменяем
тип, цвет и толщину построенных линий
тренда, для чего воспользуемся вкладкой
Вид диалогового окна Формат линии
тренда (см. рис. 3). Полученная диаграмма
с добавленными линиями тренда представлена
на рис. 5.
Для получения
табличных данных по прибыли предприятия
для каждой линии тренда за 1995-2004 гг.
воспользуемся уравнениями линий тренда,
представленными на рис. 5. Для этого в
ячейки диапазона D3:F3 вводим текстовую
информацию о типе выбранной линии
тренда: Линейный тренд, Квадратичный
тренд, Кубический тренд. Далее вводим
в ячейку D4 формулу линейной регрессии
и, используя маркер заполнения, копируем
эту формулу c относительными ссылками
в диапазон ячеек D5:D13. Следует отметить,
что каждой ячейке с формулой линейной
регрессии из диапазона ячеек D4:D13 в
качестве аргумента стоит соответствующая
ячейка из диапазона A4:A13. Аналогично
для квадратичной регрессии заполняется
диапазон ячеек E4:E13, а для кубической
регрессии — диапазон ячеек F4:F13. Таким
образом, составлен прогноз по прибыли
предприятия на 2003 и 2004 гг. с помощью
трех трендов. Полученная таблица
значений представлена на рис. 6.
Задача
2
Построить диаграмму.
В диаграмму
добавить логарифмическую, степенную
и экспоненциальную линии тренда.
Вывести уравнения
полученных линий тренда, а также величины
достоверности аппроксимации R2 для
каждой из них.
Используя уравнения
линий тренда, получить табличные данные
о прибыли предприятия для каждой линии
тренда за 1995-2002 гг.
Составить прогноз
о прибыли предприятия на 2003 и 2004 гг.,
используя эти линии тренда.
Решение
задачи
Следуя
методике, приведенной при решении задачи
1, получаем диаграмму с добавленными в
нее логарифмической, степенной и
экспоненциальной линиями тренда (рис.
7). Далее, используя полученные уравнения
линий тренда, заполняем таблицу значений
по прибыли предприятия, включая
прогнозируемые значения на 2003 и 2004 гг.
(рис. 8).
На
рис. 5 и рис. видно, что модели с
логарифмическим трендом, соответствует
наименьшее значение достоверности
аппроксимации
R2
= 0,8659
Наибольшие
же значения R2 соответствуют моделям с
полиномиальным трендом: квадратичным
(R2 = 0,9263) и кубическим (R2 = 0,933).
Задача
3
С
таблицей данных о прибыли автотранспортного
предприятия за 1995-2002 гг., приведенной в
задаче 1, необходимо выполнить следующие
действия.
Получить ряды
данных для линейной и экспоненциальной
линии тренда с использованием функций
ТЕНДЕНЦИЯ и РОСТ.
Используя функции
ТЕНДЕНЦИЯ и РОСТ, составить прогноз о
прибыли предприятия на 2003 и 2004 гг.
Для исходных
данных и полученных рядов данных
построить диаграмму.
Решение
задачи
Воспользуемся
рабочей таблицей задачи 1 (см. рис. 4).
Начнем с функции ТЕНДЕНЦИЯ:
выделяем диапазон
ячеек D4:D11, который следует заполнить
значениями функции ТЕНДЕНЦИЯ,
соответствующими известным данным о
прибыли предприятия;
вызываем команду
Функция из меню Вставка. В появившемся
диалоговом окне Мастер функций выделяем
функцию ТЕНДЕНЦИЯ из категории
Статистические, после чего щелкаем по
кнопке ОК. Эту же операцию можно
осуществить нажатием кнопки (Вставка
функции) стандартной панели инструментов.
В появившемся
диалоговом окне Аргументы функции
вводим в поле Известные_значения_y
диапазон ячеек C4:C11; в поле Известные_значения_х
— диапазон ячеек B4:B11;
чтобы вводимая
формула стала формулой массива,
используем комбинацию клавиш + + .
Введенная
нами формула в строке формул будет иметь
вид: ={ТЕНДЕНЦИЯ(C4:C11;B4:B11)}.
В
результате диапазон ячеек D4:D11 заполняется
соответствующими значениями функции
ТЕНДЕНЦИЯ (рис. 9).
Для
составления прогноза о прибыли предприятия
на 2003 и 2004 гг. необходимо:
выделить диапазон
ячеек D12:D13, куда будут заноситься
значения, прогнозируемые функцией
ТЕНДЕНЦИЯ.
вызвать функцию
ТЕНДЕНЦИЯ и в появившемся диалоговом
окне Аргументы функции ввести в поле
Известные_значения_y — диапазон ячеек
C4:C11; в поле Известные_значения_х —
диапазон ячеек B4:B11; а в поле Новые_значения_х
— диапазон ячеек B12:B13.
превратить эту
формулу в формулу массива, используя
комбинацию клавиш Ctrl + Shift + Enter.
Введенная формула
будет иметь вид: ={ТЕНДЕНЦИЯ(C4:C11;B4:B11;B12:B13)}, а диапазон ячеек D12:D13 заполнится
прогнозируемыми значениями функции
ТЕНДЕНЦИЯ (см. рис. 9).
Аналогично
заполняется ряд данных с помощью функции
РОСТ, которая используется при анализе
нелинейных зависимостей и работает
точно так же, как ее линейный аналог
ТЕНДЕНЦИЯ.
На
рис.10 представлена таблица в режиме
показа формул.
Для
исходных данных и полученных рядов
данных построена диаграмма, изображенная
на рис. 11.
Задача
4
С
таблицей данных о поступлении в
диспетчерскую службу автотранспортного
предприятия заявок на услуги за период
с 1 по 11 число текущего месяца необходимо
выполнить следующие действия.
Получить ряды
данных для линейной регрессии: используя
функции НАКЛОН и ОТРЕЗОК; используя
функцию ЛИНЕЙН.
Получить ряд
данных для экспоненциальной регрессии
с использованием функции ЛГРФПРИБЛ.
Используя
вышеназванные функции, составить
прогноз о поступлении заявок в
диспетчерскую службу на период с 12 по
14 число текущего месяца.
Для исходных и
полученных рядов данных построить
диаграмму.
Решение
задачи
Отметим,
что, в отличие от функций ТЕНДЕНЦИЯ и
РОСТ, ни одна из перечисленных выше
функций (НАКЛОН, ОТРЕЗОК, ЛИНЕЙН, ЛГРФПРИБ)
не является регрессией. Эти функции
играют лишь вспомогательную роль,
определяя необходимые параметры
регрессии.
Для
линейной и экспоненциальной регрессий,
построенных с помощью функций НАКЛОН,
ОТРЕЗОК, ЛИНЕЙН, ЛГРФПРИБ, внешний вид
их уравнений всегда известен, в отличие
от линейной и экспоненциальной регрессий,
соответствующих функциям ТЕНДЕНЦИЯ и
РОСТ.
1
.
Построим линейную регрессию, имеющую
уравнение:
y
= mx+b
с
помощью функций НАКЛОН и ОТРЕЗОК, причем
угловой коэффициент регрессии m
определяется функцией НАКЛОН, а свободный
член b — функцией ОТРЕЗОК.
Для
этого осуществляем следующие действия:
заносим исходную
таблицу в диапазон ячеек A4:B14;
значение параметра
m будет определяться в ячейке С19. Выбираем
из категории Статистические функцию
Наклон; заносим диапазон ячеек B4:B14 в
поле известные_значения_y и диапазон
ячеек А4:А14 в поле известные_значения_х.
В ячейку С19 будет введена формула:
=НАКЛОН(B4:B14;A4:A14);
по аналогичной
методике определяется значение параметра
b в ячейке D19. И ее содержимое будет иметь
вид: =ОТРЕЗОК(B4:B14;A4:A14). Таким образом,
необходимые для построения линейной
регрессии значения параметров m и b
будут сохраняться соответственно в
ячейках C19, D19;
далее заносим в
ячейку С4 формулу линейной регрессии
в виде: =$C*A4+$D. В этой формуле ячейки С19
и D19 записаны с абсолютными ссылками
(адрес ячейки не должен меняться при
возможном копировании). Знак абсолютной
ссылки $ можно набить либо с клавиатуры,
либо с помощью клавиши F4, предварительно
установив курсор на адресе ячейки.
Воспользовавшись маркером заполнения,
копируем эту формулу в диапазон ячеек
С4:С17. Получаем искомый ряд данных (рис.
12). В связи с тем, что количество заявок
— целое число, следует установить на
вкладке Число окна Формат ячеек числовой
формат с числом десятичных знаков 0.
2
.
Теперь построим линейную регрессию,
заданную уравнением:
y
= mx+b
с
помощью функции ЛИНЕЙН.
Для
этого:
вводим в диапазон
ячеек C20:D20 функцию ЛИНЕЙН как формулу
массива: ={ЛИНЕЙН(B4:B14;A4:A14)}. В результате
получаем в ячейке C20 значение параметра
m, а в ячейке D20 — значение параметра b;
вводим в ячейку
D4 формулу: =$C*A4+$D;
копируем эту
формулу с помощью маркера заполнения
в диапазон ячеек D4:D17 и получаем искомый
ряд данных.
3
.
Строим экспоненциальную регрессию,
имеющую уравнение:
с
помощью функции ЛГРФПРИБЛ оно выполняется
аналогично:
в диапазон ячеек
C21:D21 вводим функцию ЛГРФПРИБЛ как
формулу массива: ={ ЛГРФПРИБЛ
(B4:B14;A4:A14)}. При этом в ячейке C21 будет
определено значение параметра m, а в
ячейке D21 — значение параметра b;
в ячейку E4 вводится
формула: =$D*$C^A4;
с помощью маркера
заполнения эта формула копируется в
диапазон ячеек E4:E17, где и расположится
ряд данных для экспоненциальной
регрессии (см. рис. 12).
На
рис. 13 приведена таблица, где видны
используемые нами функции с необходимыми
диапазонами ячеек, а также формулы.
Величина R
2
называется
коэффициентом
детерминации
.
Задачей построения
регрессионной зависимости является
нахождение вектора коэффициентов m
модели (1) при котором коэффициент R
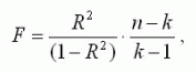
принимает максимальное значение.
Для оценки значимости
R применяется F-критерий Фишера, вычисляемый
по формуле
где n
— размер выборки (количество экспериментов);
k — число коэффициентов
модели.
Если F превышает
некоторое критическое значение для
данных n
и k
и принятой доверительной вероятности,
то величина R считается существенной.
Таблицы критических значений F приводятся
в справочниках по математической
статистике.
Таким образом,
значимость R определяется не только его
величиной, но и соотношением между
количеством экспериментов и количеством
коэффициентов (параметров) модели.
Действительно, корреляционное отношение
для n=2 для простой линейной модели равно
1 (через 2 точки на плоскости можно всегда
провести единственную прямую). Однако
если экспериментальные данные являются
случайными величинами, доверять такому
значению R следует с большой осторожностью.
Обычно для получения значимого R и
достоверной регрессии стремятся к тому,
чтобы количество экспериментов
существенно превышало количество
коэффициентов модели (n>k).
Для построения
линейной регрессионной модели необходимо:
1) подготовить
список из n строк и m столбцов, содержащий
экспериментальные данные (столбец,
содержащий выходную величину Y
должен быть
либо первым, либо последним в списке);
для примера возьмем данные предыдущего
задания, добавив столбец с названием
«№ периода», пронумеруем номера
периодов от 1 до 12. (это будут значения
Х
)
2) обратиться к
меню Данные/Анализ
данных/Регрессия
Если пункт «Анализ
данных» в
меню «Сервис» отсутствует,
то следует обратиться к пункту
«Надстройки» того
же меню и установить флажок «Пакет
анализа».
3) в диалоговом
окне «Регрессия» задать:
·
входной интервал Y;
·
входной интервал X;
·
выходной интервал — верхняя левая ячейка
интервала, в который будут помещаться
результаты вычислений (рекомендуется
разместить на новом рабочем листе);
4) нажать «Ok»
и проанализировать результаты.
После выравнивания получим функцию следующего вида: g (x) = x + 1 3 + 1 .
Мы можем аппроксимировать эти данные с помощью линейной зависимости y = a x + b , вычислив соответствующие параметры. Для этого нам нужно будет применить так называемый метод наименьших квадратов. Также потребуется сделать чертеж, чтобы проверить, какая линия будет лучше выравнивать экспериментальные данные.
Yandex.RTB R-A-339285-1
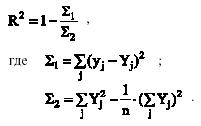
В чем именно заключается МНК (метод наименьших квадратов)
Главное, что нам нужно сделать, – это найти такие коэффициенты линейной зависимости, при которых значение функции двух переменных F (a , b) = ∑ i = 1 n (y i — (a x i + b)) 2 будет наименьшим. Иначе говоря, при определенных значениях a и b сумма квадратов отклонений представленных данных от получившейся прямой будет иметь минимальное значение. В этом и состоит смысл метода наименьших квадратов. Все, что нам надо сделать для решения примера – это найти экстремум функции двух переменных.
Как вывести формулы для вычисления коэффициентов
Для того чтобы вывести формулы для вычисления коэффициентов, нужно составить и решить систему уравнений с двумя переменными. Для этого мы вычисляем частные производные выражения F (a , b) = ∑ i = 1 n (y i — (a x i + b)) 2 по a и b и приравниваем их к 0 .
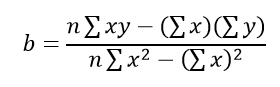
δ F (a , b) δ a = 0 δ F (a , b) δ b = 0 ⇔ — 2 ∑ i = 1 n (y i — (a x i + b)) x i = 0 — 2 ∑ i = 1 n (y i — (a x i + b)) = 0 ⇔ a ∑ i = 1 n x i 2 + b ∑ i = 1 n x i = ∑ i = 1 n x i y i a ∑ i = 1 n x i + ∑ i = 1 n b = ∑ i = 1 n y i ⇔ a ∑ i = 1 n x i 2 + b ∑ i = 1 n x i = ∑ i = 1 n x i y i a ∑ i = 1 n x i + n b = ∑ i = 1 n y i
Для решения системы уравнений можно использовать любые методы, например, подстановку или метод Крамера. В результате у нас должны получиться формулы, с помощью которых вычисляются коэффициенты по методу наименьших квадратов.
n ∑ i = 1 n x i y i — ∑ i = 1 n x i ∑ i = 1 n y i n ∑ i = 1 n — ∑ i = 1 n x i 2 b = ∑ i = 1 n y i — a ∑ i = 1 n x i n
Мы вычислили значения переменных, при который функция
F (a , b) = ∑ i = 1 n (y i — (a x i + b)) 2 примет минимальное значение. В третьем пункте мы докажем, почему оно является именно таким.
Это и есть применение метода наименьших квадратов на практике. Его формула, которая применяется для поиска параметра a , включает в себя ∑ i = 1 n x i , ∑ i = 1 n y i , ∑ i = 1 n x i y i , ∑ i = 1 n x i 2 , а также параметр
n – им обозначено количество экспериментальных данных. Советуем вам вычислять каждую сумму отдельно. Значение коэффициента b вычисляется сразу после a .
Обратимся вновь к исходному примеру.
Пример 1
Здесь у нас n равен пяти. Чтобы было удобнее вычислять нужные суммы, входящие в формулы коэффициентов, заполним таблицу.
| i = 1 | i = 2 | i = 3 | i = 4 | i = 5 | ∑ i = 1 5 | |
| x i | 0 | 1 | 2 | 4 | 5 | 12 |
| y i | 2 , 1 | 2 , 4 | 2 , 6 | 2 , 8 | 3 | 12 , 9 |
| x i y i | 0 | 2 , 4 | 5 , 2 | 11 , 2 | 15 | 33 , 8 |
| x i 2 | 0 | 1 | 4 | 16 | 25 | 46 |
Решение
Четвертая строка включает в себя данные, полученные при умножении значений из второй строки на значения третьей для каждого отдельного i . Пятая строка содержит данные из второй, возведенные в квадрат. В последнем столбце приводятся суммы значений отдельных строчек.
Воспользуемся методом наименьших квадратов, чтобы вычислить нужные нам коэффициенты a и b . Для этого подставим нужные значения из последнего столбца и подсчитаем суммы:
n ∑ i = 1 n x i y i — ∑ i = 1 n x i ∑ i = 1 n y i n ∑ i = 1 n — ∑ i = 1 n x i 2 b = ∑ i = 1 n y i — a ∑ i = 1 n x i n ⇒ a = 5 · 33 , 8 — 12 · 12 , 9 5 · 46 — 12 2 b = 12 , 9 — a · 12 5 ⇒ a ≈ 0 , 165 b ≈ 2 , 184
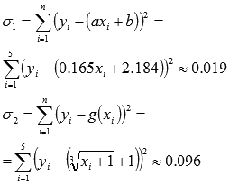
У нас получилось, что нужная аппроксимирующая прямая будет выглядеть как y = 0 , 165 x + 2 , 184 . Теперь нам надо определить, какая линия будет лучше аппроксимировать данные – g (x) = x + 1 3 + 1 или 0 , 165 x + 2 , 184 . Произведем оценку с помощью метода наименьших квадратов.
Чтобы вычислить погрешность, нам надо найти суммы квадратов отклонений данных от прямых σ 1 = ∑ i = 1 n (y i — (a x i + b i)) 2 и σ 2 = ∑ i = 1 n (y i — g (x i)) 2 , минимальное значение будет соответствовать более подходящей линии.
σ 1 = ∑ i = 1 n (y i — (a x i + b i)) 2 = = ∑ i = 1 5 (y i — (0 , 165 x i + 2 , 184)) 2 ≈ 0 , 019 σ 2 = ∑ i = 1 n (y i — g (x i)) 2 = = ∑ i = 1 5 (y i — (x i + 1 3 + 1)) 2 ≈ 0 , 096
Ответ:
поскольку σ 1 < σ 2 , то прямой, наилучшим образом аппроксимирующей исходные данные, будет
y = 0 , 165 x + 2 , 184 .
Метод наименьших квадратов наглядно показан на графической иллюстрации. С помощью красной линии отмечена прямая g (x) = x + 1 3 + 1 , синей – y = 0 , 165 x + 2 , 184 . Исходные данные обозначены розовыми точками.
Поясним, для чего именно нужны приближения подобного вида.
Они могут быть использованы в задачах, требующих сглаживания данных, а также в тех, где данные надо интерполировать или экстраполировать. Например, в задаче, разобранной выше, можно было бы найти значение наблюдаемой величины y при x = 3 или при x = 6 . Таким примерам мы посвятили отдельную статью.
Доказательство метода МНК
Чтобы функция приняла минимальное значение при вычисленных a и b , нужно, чтобы в данной точке матрица квадратичной формы дифференциала функции вида F (a , b) = ∑ i = 1 n (y i — (a x i + b)) 2 была положительно определенной. Покажем, как это должно выглядеть.
Пример 2
У нас есть дифференциал второго порядка следующего вида:
d 2 F (a ; b) = δ 2 F (a ; b) δ a 2 d 2 a + 2 δ 2 F (a ; b) δ a δ b d a d b + δ 2 F (a ; b) δ b 2 d 2 b
Решение
δ 2 F (a ; b) δ a 2 = δ δ F (a ; b) δ a δ a = = δ — 2 ∑ i = 1 n (y i — (a x i + b)) x i δ a = 2 ∑ i = 1 n (x i) 2 δ 2 F (a ; b) δ a δ b = δ δ F (a ; b) δ a δ b = = δ — 2 ∑ i = 1 n (y i — (a x i + b)) x i δ b = 2 ∑ i = 1 n x i δ 2 F (a ; b) δ b 2 = δ δ F (a ; b) δ b δ b = δ — 2 ∑ i = 1 n (y i — (a x i + b)) δ b = 2 ∑ i = 1 n (1) = 2 n
Иначе говоря, можно записать так: d 2 F (a ; b) = 2 ∑ i = 1 n (x i) 2 d 2 a + 2 · 2 ∑ x i i = 1 n d a d b + (2 n) d 2 b .
Мы получили матрицу квадратичной формы вида M = 2 ∑ i = 1 n (x i) 2 2 ∑ i = 1 n x i 2 ∑ i = 1 n x i 2 n .
В этом случае значения отдельных элементов не будут меняться в зависимости от a и b . Является ли эта матрица положительно определенной? Чтобы ответить на этот вопрос, проверим, являются ли ее угловые миноры положительными.
Вычисляем угловой минор первого порядка: 2 ∑ i = 1 n (x i) 2 > 0 . Поскольку точки x i не совпадают, то неравенство является строгим. Будем иметь это в виду при дальнейших расчетах.
Вычисляем угловой минор второго порядка:
d e t (M) = 2 ∑ i = 1 n (x i) 2 2 ∑ i = 1 n x i 2 ∑ i = 1 n x i 2 n = 4 n ∑ i = 1 n (x i) 2 — ∑ i = 1 n x i 2
После этого переходим к доказательству неравенства n ∑ i = 1 n (x i) 2 — ∑ i = 1 n x i 2 > 0 с помощью математической индукции.
- Проверим, будет ли данное неравенство справедливым при произвольном n . Возьмем 2 и подсчитаем:
2 ∑ i = 1 2 (x i) 2 — ∑ i = 1 2 x i 2 = 2 x 1 2 + x 2 2 — x 1 + x 2 2 = = x 1 2 — 2 x 1 x 2 + x 2 2 = x 1 + x 2 2 > 0
У нас получилось верное равенство (если значения x 1 и x 2 не будут совпадать).
- Сделаем предположение, что данное неравенство будет верным для n , т.е. n ∑ i = 1 n (x i) 2 — ∑ i = 1 n x i 2 > 0 – справедливо.
- Теперь докажем справедливость при n + 1 , т.е. что (n + 1) ∑ i = 1 n + 1 (x i) 2 — ∑ i = 1 n + 1 x i 2 > 0 , если верно n ∑ i = 1 n (x i) 2 — ∑ i = 1 n x i 2 > 0 .
Вычисляем:
(n + 1) ∑ i = 1 n + 1 (x i) 2 — ∑ i = 1 n + 1 x i 2 = = (n + 1) ∑ i = 1 n (x i) 2 + x n + 1 2 — ∑ i = 1 n x i + x n + 1 2 = = n ∑ i = 1 n (x i) 2 + n · x n + 1 2 + ∑ i = 1 n (x i) 2 + x n + 1 2 — — ∑ i = 1 n x i 2 + 2 x n + 1 ∑ i = 1 n x i + x n + 1 2 = = ∑ i = 1 n (x i) 2 — ∑ i = 1 n x i 2 + n · x n + 1 2 — x n + 1 ∑ i = 1 n x i + ∑ i = 1 n (x i) 2 = = ∑ i = 1 n (x i) 2 — ∑ i = 1 n x i 2 + x n + 1 2 — 2 x n + 1 x 1 + x 1 2 + + x n + 1 2 — 2 x n + 1 x 2 + x 2 2 + . . . + x n + 1 2 — 2 x n + 1 x 1 + x n 2 = = n ∑ i = 1 n (x i) 2 — ∑ i = 1 n x i 2 + + (x n + 1 — x 1) 2 + (x n + 1 — x 2) 2 + . . . + (x n — 1 — x n) 2 > 0
Выражение, заключенное в фигурные скобки, будет больше 0 (исходя из того, что мы предполагали в пункте 2), и остальные слагаемые будут больше 0 , поскольку все они являются квадратами чисел. Мы доказали неравенство.
Ответ:
найденные a и b будут соответствовать наименьшему значению функции F (a , b) = ∑ i = 1 n (y i — (a x i + b)) 2 , значит, они являются искомыми параметрами метода наименьших квадратов (МНК).
Если вы заметили ошибку в тексте, пожалуйста, выделите её и нажмите Ctrl+Enter






































