Шар и сфера — это прежде всего геометрические фигуры, и если шар — это геометрическое тело, то сфера — это поверхность шара. Этими фигурами интересовались еще многие тысячи лет назад до н.э.
Впоследствии когда было открыто, что Земля — это шар, а небо — небесная сфера, получило развитие новое увлекательное направление в геометрии — геометрия на сфере или сферическая геометрия. Для того, чтобы рассуждать о размере и объеме шара, нужно сначала дать ему определение.
Шар
Шаром радиуса R с центром в точке О в геометрии называют тело, которое создано всеми точками пространство, имеющими общее свойство. Эти точки находятся на расстоянии, не превышающем радиуса шара, то есть заполняют все пространство меньше радиуса шара во все стороны от его центра. Если мы рассмотрим только те точки, которые равноудалены от центра шара — мы будем рассматривать его поверхность или оболочку шара.
Как можно получить шар? Мы можем вырезать из бумаги круг и начать его вращать вокруг его же диаметра. То есть диаметр круга будет осью вращения. Образованная фигура — будет шар. Поэтому шар называют также телом вращения. Потому что он может быть образован путем вращения плоской фигуры — круга.
Возьмем какую-нибудь плоскость и разрежем ею наш шар. Подобно тому как мы режем ножом апельсин. Кусок, который мы отсечем от шара, называется шаровым сегментом.
В Древней Греции умели не только работать с шаром и сферой, как с геометрическими фигурами, например, использовать их при строительстве, а также умели расчитывать площадь поверхности шара и объем шара.
Сферой иначе называется поверхность шара. Сфера — это не тело — это поверхность тела вращения. Однако так как и Земля и многие тела имеют сферическую форму, например капля воды, то изучение геометрических соотношений внутри сферы получило большое распространение.
Например, если мы соединим две точки сферы между собой прямой линией, то эта прямая линия назовется хордой, а если эта хорда пройдет через центр сферы, который совпадает с центром шара, то хорда назовется диаметром сферы.
Если мы проведем прямую линию, которая коснется сферы всего в одной точке, то эта линия будет называться касательной. Кроме того, эта касательная к сфере в этой точке будет перпендикулярна к радиусу сферы, проведенному в точку касания.
Если мы продолжим хорду до прямой в одну и другую сторону от сферы, то эта хорда станет называться секущей. Или можно сказать иначе — секущая к сфере содержит в себе ее хорду.
Объем шара
Формула для вычисления объема шара имеет вид:
где R — радиус шара.
Если нужно найти объем шарового сегмента — воспользуйтесь формулой:
V сег =πh 2 (R-h/3), h — высота шарового сегмента.
Площадь поверхности шара или сферы
Чтобы вычислить площадь сферы или площадь поверхности шара (это одно и то же):
где R — радиус сферы.
Архимед очень любил шар и сферу, он даже попросил оставить на его гробницу рисунок, на котором в цилиндр вписан шар. Архимед считал, что объем шара и его поверхность равны двум третьим от объема и поверхности цилиндра, в который вписан шар»
Прежде чем начать изучать понятие шара, что такое объём шара, рассматривать формулы исчисления его параметров, необходимо вспомнить о понятии круга, изучаемом ранее в курсе геометрии. Ведь большинство действий в трехмерном пространстве аналогичны или вытекают из двумерной геометрии с поправкой на появление третьей координаты и третьей степени.
Что такое круг?
Круг — это фигура на декартовой плоскости (изображена на рисунке 1); наиболее часто определение звучит как «геометрическое место всех точек на плоскости, расстояние от которых до заданной точки (центра) не превышает некоего неотрицательного числа, называемого радиусом».
Как видим по рисунку, точка О — это центр фигуры, а множество абсолютно всех точек, что заполняют круг, к примеру, А, В, С, К, Е, находятся не далее заданного радиуса (не выходят за пределы окружности, изображенной на рис. 2).
Если радиус равен нулю, то круг превращается в точку.
Проблемы с пониманием
Ученики часто путают эти понятия. Легко запомнить, проведя аналогию. Обруч, который дети крутят на уроках физической культуры, — окружность. Понимая это или запомнив, что первые буквы обоих слов — «О», дети мнемонически будут понимать разницу.
Введение понятия «шар»
Шар — это тело (рис. 3), ограниченное некой сферической поверхностью. Что за «сферическая поверхность», станет ясно из ее определения: это геометрическое место всех точек на поверхности, расстояние от которых до заданной точки (центра) не превышает некоего неотрицательного числа, называемого радиусом. Как видим, понятия круга и сферической поверхности аналогичны, только разнятся пространства, в которых они находятся. Если изобразить шар в двумерном пространстве, мы получаем круг, границей которого является окружность (у шара граница — сферическая поверхность). На рисунке мы видим сферическую поверхность с радиусами ОА = ОВ.
Шар замкнутый и открытый
В векторном и метрическом пространствах также рассматриваются два понятия, связанные со сферической поверхностью. Если шар включает эту сферу в себя, то он называется замкнутым, а если же нет, то в таком случае шар является открытым. Это более «продвинутые» понятия, их изучают в институтах при введении в анализ. Для простого, даже бытового использования будет достаточно и тех формул, которые изучаются в курсе стереометрии 10-11 классов. Именно такие, доступные практически каждому среднестатистическому образованному человеку понятия будут рассмотрены далее.
Понятия, которые нужно знать для следующих вычислений
Радиус и диаметр.
Радиус шара и его диаметр определяются так же, как у круга.
Радиус — отрезок, соединяющий любую точку на границе шара и точку, являющуюся центром шара.
Диаметр — отрезок, соединяющий две точки на границе шара и проходящий через его центр. Рисунок 5а наглядно демонстрирует, какие отрезки являются радиусами шара, а на рисунке 5б изображены диаметры сферы (отрезки, проходящие через точку О).
Сечения в сфере (шаре)
Любое сечение сферы является кругом. Если оно проходит через центр шара, то называется большим кругом (окружность с диаметром АВ), остальные сечения — малыми кругами (окружность с диаметром DC).
Площадь данных кругов вычисляется по следующим формулам:
Здесь S — это обозначение площади, R — радиуса, D — диаметра. Также присутствует константа, равная 3,14. Но не стоит путать, что для исчисления площади большого круга используют радиус или диаметр самого шара (сферы), а для определения площади требуются размеры радиуса именно малой окружности.
Таких сечений, которые проходят через две точки одного диаметра, лежащих на границе шара, можно провести бесчисленное число. Как пример — наша планета: две точки на Северном и Южном полюсах, которые являются концами земной оси, а в геометрическом смысле — концами диаметра, и меридианы, которые проходят через эти две точки (рисунок 7). То есть число больших кругов у сферы по количеству стремится к бесконечности.
Части шара
Если отсечь от сферы при помощи некоторой плоскости «кусочек» (рисунок 8), то он будет называться сферическим или шаровым сегментом. У него будет высота — перпендикуляр из центра секущей плоскости до сферической поверхности О 1 К. Точка К на сферической поверхности, в которую приходит высота, называется вершиной сферического сегмента. А малый круг с радиусом О 1 Т (в данном случае, согласно с рисунком, плоскость не прошла через центр сферы, но если сечение будет проходить через центр, то круг сечения будет большим), образованный при отсечении шарового сегмента, будет называться основанием нашего кусочка шара — сферического сегмента.
Если соединить каждую точку основания сферического сегмента с центром сферы, мы получим фигуру под названием «шаровой сектор».
Если через сферу проходят две плоскости, которые между собой параллельны, то та часть сферы, которая заключена между ними, называется шаровым слоем (рисунок 9, где изображена сфера с двумя плоскостями и отдельно — шаровой слой).
Поверхность (выделенная часть на рисунке 9 справа) этой части сферы называется поясом (снова для лучшего понимания можно провести аналогию с земным шаром, а именно с его климатическими поясами — арктическими, тропическими, умеренными и т. д.), а круги сечения будут основаниями шарового слоя. Высота слоя — часть диаметра, проведённого перпендикулярно к секущим плоскостям из центров оснований. Существует также понятие шаровой сферы. Она образуется в том случае, когда плоскости, которые параллельны друг другу, не пересекают сферу, а касаются ее в одной точке каждая.
Формулы исчисления объёма шара и площади его поверхности
Шар образуется при вращении вокруг неподвижного диаметра полукруга или круга. Для вычислений разных параметров данного объекта понадобится не так уж много данных.
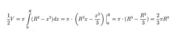
Объем шара, формула для исчисления которого указана выше, выведен посредством интегрирования. Разберемся по пунктам.
Рассматриваем круг в двумерной плоскости, ведь, как было сказано выше, именно круг лежит в основе построения шара. Используем лишь его четвертую часть (рисунок 10).
Берем круг с единичным радиусом и центром в начале координат. Уравнение такого круга выглядит следующим образом: Х 2 + У 2 = R 2 . Выражаем отсюда У: У 2 = R 2 — Х 2 .
Обязательно отметим, что полученная функция неотрицательная, непрерывная и убывающая на отрезке Х (0; R), ведь значение Х в том случае, когда мы рассматриваем четверть круга, лежит от нуля до значения радиуса, то есть до единицы.
Следующее, что мы делаем, это вращаем нашу четверть круга вокруг оси абсцисс. В результате мы получим полушар. Чтобы определить его объём, прибегнем к методам интегрирования.
Так как это объём лишь полушара, увеличиваем результат в два раза, откуда получаем, что объем шара равен:
Мелкие нюансы
Если необходимо вычислить объем шара через его диаметр, помним о том, что радиус — это половина диаметра, и подставляем это значение в вышеуказанную формулу.
Также к формуле объема шара можно дойти через площадь его граничащей поверхности — сферы. Напомним, что площадь сферы вычисляется по формуле S = 4πr 2 , проинтегрировав которую, также придем к вышеуказанной формуле объема шара. Из этих же формул можно выразить радиус, если в условии задачи есть значение объема.
Радиус шара (обозначается как r или R) – это отрезок, который соединяет центр шара с любой точкой на его поверхности. Как и в случае круга, радиус шара является важной величиной, которая необходима для нахождения диаметра шара, длины окружности, площади поверхности и/или объема. Но радиус шара можно найти и по данному значению диаметра, длины окружности и другой величины. Используйте формулу, в которую можно подставить данные значения.
Шаги
Формулы для вычисления радиуса
Вычислите радиус по диаметру.
Радиус равен половине диаметра, поэтому используйте формулу г = D/2
. Эта такая же формула, которая используется при вычислении радиуса и диаметра круга.
- Например, дан шар с диаметром 16 см. Радиус этого шара: r = 16/2 = 8 см
. Если диаметр равен 42 см, то радиус равен 21 см
(42/2=21).
Вычислите радиус по длине окружности.
Используйте формулу: r = C/2π
. Так как длина окружности C = πD = 2πr, то разделите формулу для вычисления длины окружности на 2π и получите формулу для нахождения радиуса.
- Например, дан шар с длиной окружности 20 см. Радиус этого шара: r = 20/2π = 3,183 см
. - Такая же формула используется при вычислении радиуса и длины окружности круга.
Вычислите радиус по объему шара.
Используйте формулу: r = ((V/π)(3/4)) 1/3
. Объем шара вычисляется по формуле V = (4/3)πr 3 . Обособив r на одной стороне уравнения, вы получите формулу ((V/π)(3/4)) 3 = г, то есть для вычисления радиуса объем шара делим на π, результат умножаем на 3/4, а полученный результат возводим в степень 1/3 (или извлекаем кубический корень).
- Например, дан шар с объемом 100 см 3 . Радиус этого шара вычисляется так:
- ((V/π)(3/4)) 1/3 = r
- ((100/π)(3/4)) 1/3 = r
- ((31,83)(3/4)) 1/3 = r
- (23,87) 1/3 = r
- 2,88 см
= r
Вычислите радиус по площади поверхности.
Используйте формулу: г = √(A/(4 π))
. Площадь поверхности шара вычисляется по формуле А = 4πr 2 . Обособив r на одной стороне уравнения, вы получите формулу √(A/(4π)) = r, то есть, чтобы вычислить радиус, нужно извлечь квадратный корень из площади поверхности, деленной на 4π. Вместо того чтобы извлекать корень, выражение (A/(4π)) можно возвести в степень 1/2.
- Например, дан шар с площадью поверхности 1200 см 3 . Радиус этого шара вычисляется так:
- √(A/(4π)) = r
- √(1200/(4π)) = r
- √(300/(π)) = r
- √(95,49) = r
- 9,77 см
= r
Определение основных величин
-
Запомните основные величины, которые имеют отношение к вычислению радиуса шара.
Радиус шара – это отрезок, который соединяет центр шара с любой точкой на его поверхности. Радиус шара можно вычислить по данным значениям диаметра, длины окружности, объема или площади поверхности.
Воспользуйтесь значениями данных величин, чтобы найти радиус.
Радиус можно вычислить по данным значениям диаметра, длины окружности, объема и площади поверхности. Более того, указанные величины можно найти по данному значению радиуса. Чтобы вычислить радиус, просто преобразуйте формулы для нахождения указанных величин. Ниже приведены формулы (в которых присутствует радиус) для вычисления диаметра, длины окружности, объема и площади поверхности.
Нахождение радиуса по расстоянию между двумя точками
-
Найдите координаты (х,у,z) центра шара.
Радиус шара равен расстоянию между его центром и любой точкой, лежащей на поверхности шара. Если известны координаты центра шара и любой точки, лежащей на его поверхности, можно найти радиус шара по специальной формуле, вычислив расстояние между двумя точками. Сначала найдите координаты центра шара. Имейте в виду, что так как шар является трехмерной фигурой, то точка будет иметь три координаты (х,у,z), а не две (х,у).- Рассмотрим пример. Дан шар с центром с координатами (4,-1,12)
. Воспользуйтесь этими координатами, чтобы найти радиус шара.
- Рассмотрим пример. Дан шар с центром с координатами (4,-1,12)
-
Найдите координаты точки, лежащей на поверхности шара.
Теперь нужно найти координаты (х,у,z) любой
точки, лежащей на поверхности шара. Так как все точки, лежащие на поверхности шара, расположены на одинаковом расстоянии от центра шара, для вычисления радиуса шара можно выбрать любую точку.- В нашем примере допустим, что некоторая точка, лежащая на поверхности шара, имеет координаты (3,3,0)
. Вычислив расстояние между этой точкой и центром шара, вы найдете радиус.
- В нашем примере допустим, что некоторая точка, лежащая на поверхности шара, имеет координаты (3,3,0)
-
Вычислите радиус по формуле d = √((x 2 — x 1) 2 + (y 2 — y 1) 2 + (z 2 — z 1) 2).
Узнав координаты центра шара и точки, лежащей на его поверхности, вы можете найти расстояние между ними, которое равно радиусу шара. Расстояние между двумя точками вычисляется по формуле d = √((x 2 — x 1) 2 + (y 2 — y 1) 2 + (z 2 — z 1) 2), где d – расстояние между точками, (x 1 ,y 1 ,z 1) – координаты центра шара, (x 2 ,y 2 ,z 2) – координаты точки, лежащей на поверхности шара.- В рассматриваемом примере вместо (x 1 ,y 1 ,z 1) подставьте (4,-1,12), а вместо (x 2 ,y 2 ,z 2) подставьте (3,3,0):
- d = √((x 2 — x 1) 2 + (y 2 — y 1) 2 + (z 2 — z 1) 2)
- d = √((3 — 4) 2 + (3 — -1) 2 + (0 — 12) 2)
- d = √((-1) 2 + (4) 2 + (-12) 2)
- d = √(1 + 16 + 144)
- d = √(161)
- d = 12,69
. Это искомый радиус шара.
- В рассматриваемом примере вместо (x 1 ,y 1 ,z 1) подставьте (4,-1,12), а вместо (x 2 ,y 2 ,z 2) подставьте (3,3,0):
-
Имейте в виду, что в общих случаях r = √((x 2 — x 1) 2 + (y 2 — y 1) 2 + (z 2 — z 1) 2).
Все точки, лежащие на поверхности шара, расположены на одинаковом расстоянии от центра шара. Если в формуле для нахождения расстояния между двумя точками «d» заменить на «r», получится формула для вычисления радиуса шара по известным координатам (x 1 ,y 1 ,z 1) центра шара и координатам (x 2 ,y 2 ,z 2) любой точки, лежащей на поверхности шара.- Возведите обе стороны этого уравнения в квадрат, и получите r 2 = (x 2 — x 1) 2 + (y 2 — y 1) 2 + (z 2 — z 1) 2 . Отметьте, что это уравнение соответствует уравнению сферы r 2 = x 2 + y 2 + z 2 с центром с координатами (0,0,0).
- Не забывайте про порядок выполнения математических операций. Если вы не помните этот порядок, а ваш калькулятор умеет работать с круглыми скобками, пользуйтесь ими.
- В этой статье рассказывается о вычислении радиуса шара. Но если вы испытываете затруднения с изучением геометрии, лучше начать с вычисления величин, связанных с шаром, через известное значение радиуса.
- π (Пи) – это буква греческого алфавита, которая обозначает постоянную, равную отношению диаметра круга к длине его окружности. Число Пи является иррациональным числом, которое не записывается как отношение действительных чисел. Существует множество приближений, например, отношение 333/106 позволит найти число Пи с точностью до четырех цифр после десятичной запятой. Как правило, пользуются приблизительным значением числа Пи, которое равно 3,14.
Многие тела, которые мы встречаем в жизни или о которых слышали, имеют шарообразную форму, например футбольный мяч, падающая капля воды во время дождя или наша планета. В связи с этим является актуальным рассмотрение вопроса, как находить объем шара.
Фигура шар в геометрии
Перед тем как ответить на вопрос, шара, рассмотрим подробнее это тело. Некоторые люди путают его со сферой. Внешне они действительно похожи, однако шар — это заполненный внутри объект, сфера же представляет собой лишь внешнюю оболочку шара бесконечно малой толщины.
С точки зрения геометрии шар можно представить совокупностью точек, причем те из них, которые лежат на его поверхности (они образуют сферу), находятся на одинаковом расстоянии от центра фигуры. Это расстояние называют радиусом. По сути, радиус — это единственный параметр, с помощью которого можно описать любые свойства шара, такие как площадь его поверхности или объем.
На рисунке ниже приведен пример шара.
Если внимательно посмотреть на этот идеальный круглый объект, то можно догадаться, как его получить из обычного круга. Для этого достаточно вращать эту плоскую фигуру вокруг оси, совпадающей с его диаметром.
Одним из известных древних литературных источников, в котором достаточно подробно рассматриваются свойства этой объемной фигуры, является труд греческого философа Евклида — «Элементы».
Площадь поверхности и объем

Рассматривая вопрос, как находить объем шара, помимо этой величины, следует привести формулу для его площади, поскольку оба выражения можно связать друг с другом, как будет показано ниже.
Итак, чтобы вычислить объем шара, следует применить одну из следующих двух формул:
- V = 4/3 *pi * R3;
- V = 67/16 * R3.
Здесь R — радиус фигуры. Первая из приведенных формул является точной, однако, чтобы воспользоваться этим преимуществом, необходимо использовать соответствующее число знаков после запятой для числа pi. Второе выражение дает вполне хороший результат, отличаясь от первого всего на 0,03 %. Для ряда практических задач этой точности более чем достаточно.
Равна этой величине для сферы, то есть выражается формулой S = 4 * pi * R2. Если отсюда выразить радиус, а затем подставить его в первую формулу для объема, тогда получим: R = √ (S / (4 * pi)) = > V = S / 3 * √ (S / (4 * pi)).
Таким образом, мы рассмотрели вопросы, как найти объем шара через радиус и через площадь его поверхности. Эти выражения можно с успехом применять на практике. Далее в статье приведем пример их использования.
Задача с каплей дождя

Вода, когда находится в невесомости, приобретает форму шарообразной капли. Связано это с наличием сил поверхностного натяжения, которые стремятся минимизировать площадь поверхности. Шар, в свою очередь, обладает наименьшим ее значением среди всех геометрических фигур с одинаковой массой.
Во время дождя падающая капля воды находится в невесомости, поэтому ее формой является шар (здесь пренебрегаем силой сопротивления воздуха). Необходимо определить объем, площадь поверхности и радиус этой капли, если известно, что ее масса составляет 0,05 грамма.
Объем определить просто, для этого следует поделить известную массу на плотность H 2 O (ρ = 1 г/см 3). Тогда V = 0,05 / 1 = 0,05 см 3 .
Зная, как найти объем шара, следует выразить из формулы радиус и подставить полученное значение, имеем: R = ∛ (3 * V / (4 * pi)) = ∛ (3 * 0,05 / (4 * 3,1416)) = 0,2285 см.
Теперь значение радиуса подставляем в выражение для площади поверхности фигуры, получаем: S = 4 * 3,1416 * 0,22852 = 0,6561 см 2 .
Таким образом, зная, как находить объем шара, мы получили ответы на все вопросы задачи: R = 2,285 мм, S = 0,6561 см 2 и V = 0,05 см 3 .

















