Изучение вопроса вычитания дробей с разными знаменателями встречается в школьном предмете Алгебра в восьмом классе и оно иногда вызывает у детей сложности в понимании. Для вычитания дробей с разными знаменателями используют следующую формулу:
Процедура вычитания дробей аналогично сложению, поскольку полностью копирует принцип действия.
Во-первых, вычисляем самое маленькое число, которое кратно как одному, так и другому знаменателю.
Во-вторых, перемножаем числитель и знаменатель каждой дроби на определнное число, которое позволит нам знаменатель привести к данному минимальному общему знаменателю.
В-третьих, происходит процедура самого вычитания, когда в итоге знаменатель дублируется, а вычитается числитель второй дроби из первой.
Пример: 8/3 2/4 = 8/3 1/2 = 16/6 3/6 = 13/6 = 2 целых 1/6
Сначала нужно привести их к одному знаменателю, а потом уже произвести вычитание. Например, 1/2 — 1/4 = 2/4 — 1/4 = 1/4. Или, сложнее, 1/3 — 1/5 = 5/15 — 3/15 = 2/15. Объяснять, как приводятся дроби к общему знаменателю нужно?
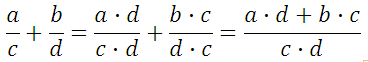
При таких операциях как сложение или вычитание обыкновенных дробей с разными знаменателями действует простое правило — знаменатели этих дробей приводятся к одному числу, а само действие выполняется с числами стоящими в числителе. То есть дроби получают общий знаменатель и словно объединяются в одну. Нахождение общего знаменателя для произвольных дробей обычно сводится к простому перемножению каждой из дробей на знаменатель другой дроби. Но в более простых случаях можно сразу найти сомножители, которые приведут знаменатели дробей к одному числу.
Пример вычитания дробей: 2/3 — 1/7 = 2*7/3*7 — 1*3/7*3 = 14/21 — 3/21 = (14-3)/21 = 11/21
Многие взрослые уже забыли, как вычесть дроби с разными знаменателями
, а ведь это действие относится к элементарной математике.
Чтобы вычесть дроби с разными знаменателями
, нужно привести их к общему знаменателю, то есть найти наименьшее общее кратное знаменателей, затем числители умножить на дополнительные множители, равные отношению наименьшего общего кратного и знаменателя.
Знаки дробей при этом сохраняются. После того, как у дробей появились одинаковые знаменатели, можно производить вычитание, а потом, если получится, сократить дробь.
Елена, Вы решили повторить школьный курс математики?)))
Чтобы вычесть дроби с разными знаменателями их сначала нужно привести к одному знаменателю, а потом вычесть. Самый простой вариант: Числитель и знаменатель первой дроби умножить на знаменатель второй дроби, а числитель и знаменатель второй дроби умножить на знаменатель первой дроби. Получили две дроби с одинаковыми знаменателями. Теперь от числителя первой дроби отнимаем числитель второй дроби, а знаменатель у них одинаковый.
Например, три пятых отнять две седьмых равно двадцать одна тридцать пятая отнять десять тридцать пятых и это равно одиннадцать тридцать пятых.
Если знаменатели большие числа, то можно найти их наименьшее общее кратное, т.е. число, которое будет делиться и на один и на другой знаменатель. И приводить обе дроби к общему знаменателю (наименьшему общему кратному)
Как вычитывать дроби с разными знаменателями задача очень простая — приводим дроби к общему знаменателю и затем в числителе делаем вычитание.
Очень многие сталкиваются с трудностями, когда возле этих дробей стоят целые числа, поэтому хотел показать, как это делать на следующем примере:
вычитание дробей с целой частью и с разными знаменателями
сначала вычитываем целые части 8-5 = 3 (тройка остается возле первой дроби);
приводим дроби к общему знаменателю 6 (если числитель первой дроби больше второго, делаем вычитание и записываем возле целой части, в нашем же случае двигаемся дальше);
целую часть 3 раскладываем на 2 и 1;
1 записываем в виде дроби 6/6;
6/6+3/6-4/6 записываем под общим знаменателем 6 и делаем действия в числителе;
записываем найденный результат 2 5/6.
Важно помнить, что вычитание дробей производиться при наличии у них одинаковых знаменателю. Поэтому-то когда у нас имеются в разности дроби с различными знаменателями, их нужно привести просто напросто к общему знаменателю, что сделать не сложно. Мы просто должны разложить у каждой дроби числитель на множители и вычислить наименьшее общее кратное, которое не должно равняться нулю. Не забываем также умножить числители на полученные дополнительные множители, а вот пример для удобства:
Если вы хотите вычесть дроби с разными знаменателями, то для начала вам придется найти для этих двух дробей общий знаменатель. И потом вычесть из числителя первой дроби вторую. Получается новая дробь, с новым значением.
На сколько я помню из курса математики 3его класса, то для вычета дробей с разными знаминателями для начала нужно вычислить общий знаминатель и привести к нему, а потом просто вычетаются числители между собой а знаминатель остается тот общий.
Чтобы вычесть дроби с разными знаменателями, нам сначала придется найти наименьший общий знаменатель этих дробей.
Рассмотрим на примере:
Делим большее число 25 на меньшее 20. Не делится. Значит умножаем знаменатель 25 на такое число, получившая сумма при этом чтобы могла делится на 20. Таким числом будет 4. 25х4=100. 100_20=5. Таким образом мы нашли наименьший общий знаменатель — 100.
Теперь нам необходимо найти дополнительный множитель к каждой дроби. Для этого делим новый знаменатель на старый.
Умножаем 9 на 4 = 36. Умножаем 7 на 5 = 35.
Имея общий знаменатель мы проводим вычитание, как показано в примере и получаем результат.
Действия с дробями.
Внимание!
К этой теме имеются дополнительные
материалы в Особом разделе 555.
Для тех, кто сильно «не очень…»
И для тех, кто «очень даже…»)
Итак, что из себя представляют дроби, виды дробей, преобразования — мы вспомнили. Займёмся главным вопросом.
Что можно делать с дробями? Да всё то, что и с обычными числами. Складывать, вычитать, умножать, делить.
Все эти действия с десятичными дробями ничем не отличаются от действий с целыми числами. Собственно, этим они и хороши, десятичные. Единственно, запятую правильно поставить надо.
Смешанные числа
, как я уже говорил, малопригодны для большинства действий. Их всё равно надо переводить в обыкновенные дроби.
А вот действия с обыкновенными дробями
похитрее будут. И гораздо важнее! Напомню: все действия с дробными выражениями с буковками, синусами, неизвестными и прочая и прочая ничем не отличаются от действий с обыкновенными дробями
! Действия с обыкновенными дробями — это основа для всей алгебры. Именно по этой причине мы очень подробно разберём здесь всю эту арифметику.
Сложение и вычитание дробей.
Сложить (отнять) дроби с одинаковыми знаменателями каждый сможет (очень надеюсь!). Ну уж совсем забывчивым напомню: при сложении (вычитании) знаменатель не меняется. Числители складываются (вычитаются) и дают числитель результата. Типа:
Короче, в общем виде:
А если знаменатели разные? Тогда, используя основное свойство дроби (вот оно и опять пригодилось!), делаем знаменатели одинаковыми! Например:
Здесь нам из дроби 2/5 пришлось сделать дробь 4/10. Исключительно с целью сделать знаменатели одинаковыми. Замечу, на всякий случай, что 2/5 и 4/10 это одна и та же дробь
! Только 2/5 нам неудобно, а 4/10 очень даже ничего.
Кстати, в этом суть решений любых заданий по математике. Когда мы из неудобного
выражения делаем то же самое, но уже удобное для решения
.
Ещё пример:
Ситуация аналогичная. Здесь мы из 16 делаем 48. Простым умножением на 3. Это всё понятно. Но вот нам попалось что-нибудь типа:
Как быть?! Из семёрки девятку трудно сделать! Но мы умные, мы правила знаем! Преобразуем каждую
дробь так, чтобы знаменатели стали одинаковыми. Это называется «приведём к общему знаменателю»:
Во как! Откуда же я узнал про 63? Очень просто! 63 это число, которое нацело делится на 7 и 9 одновременно. Такое число всегда можно получить перемножением знаменателей. Если мы какое-то число умножили на 7, к примеру, то результат уж точно на 7 делиться будет!
Если надо сложить (вычесть) несколько дробей, нет нужды делать это попарно, по шагам. Просто надо найти знаменатель, общий для всех дробей, и привести каждую дробь к этому самому знаменателю. Например:
И какой же общий знаменатель будет? Можно, конечно, перемножить 2, 4, 8, и 16. Получим 1024. Кошмар. Проще прикинуть, что число 16 отлично делится и на 2, и на 4, и на 8. Следовательно, из этих чисел легко получить 16. Это число и будет общим знаменателем. 1/2 превратим в 8/16, 3/4 в 12/16, ну и так далее.
Кстати, если за общий знаменатель взять 1024, тоже всё получится, в конце всё посокращается. Только до этого конца не все доберутся, из-за вычислений…
Дорешайте уж пример самостоятельно. Не логарифм какой… Должно получиться 29/16.
Итак, со сложением (вычитанием) дробей ясно, надеюсь? Конечно, проще работать в сокращённом варианте, с дополнительными множителями. Но это удовольствие доступно тем, кто честно трудился в младших классах… И ничего не забыл.
А сейчас мы поделаем те же самые действия, но не с дробями, а с дробными выражениями
. Здесь обнаружатся новые грабли, да…
Итак, нам надо сложить два дробных выражения:
Надо сделать знаменатели одинаковыми. Причём только с помощью умножения
! Уж так основное свойство дроби велит. Поэтому я не могу в первой дроби в знаменателе к иксу прибавить единицу. (а вот бы хорошо было!). А вот если перемножить знаменатели, глядишь, всё и срастётся! Так и записываем, черту дроби, сверху пустое место оставим, потом допишем, а снизу пишем произведение знаменателей, чтобы не забыть:
И, конечно, ничего в правой части не перемножаем, скобки не открываем! А теперь, глядя на общий знаменатель правой части, соображаем: чтобы в первой дроби получился знаменатель х(х+1), надо числитель и знаменатель этой дроби умножить на (х+1). А во второй дроби — на х. Получится вот что:
Обратите внимание! Здесь появились скобки! Это и есть те грабли, на которые многие наступают. Не скобки, конечно, а их отсутствие. Скобки появляются потому, что мы умножаем весь
числитель и весь
знаменатель! А не их отдельные кусочки…
В числителе правой части записываем сумму числителей, всё как в числовых дробях, затем раскрываем скобки в числителе правой части, т.е. перемножаем всё и приводим подобные. Раскрывать скобки в знаменателях, перемножать что-то не нужно! Вообще, в знаменателях (любых) всегда приятнее произведение! Получим:
Вот и получили ответ. Процесс кажется долгим и трудным, но это от практики зависит. Порешаете примеры, привыкните, всё станет просто. Те, кто освоил дроби в положенное время, все эти операции одной левой делают, на автомате!
И ещё одно замечание. Многие лихо расправляются с дробями, но зависают на примерах с целыми
числами. Типа: 2 + 1/2 + 3/4= ? Куда пристегнуть двойку? Никуда не надо пристёгивать, надо из двойки дробь сделать. Это не просто, а очень просто! 2=2/1. Вот так. Любое целое число можно записать в виде дроби. В числителе — само число, в знаменателе — единица. 7 это 7/1, 3 это 3/1 и так далее. С буквами — то же самое. (а+в) = (а+в)/1, х=х/1 и т.д. А дальше работаем с этим дробями по всем правилам.
Ну, по сложению — вычитанию дробей знания освежили. Преобразования дробей из одного вида в другой — повторили. Можно и провериться. Порешаем немного?)
Вычислить:
Ответы (в беспорядке):
71/20; 3/5; 17/12; -5/4; 11/6
Умножение/деление дробей — в следующем уроке. Там же и задания на все действия с дробями.
Если Вам нравится этот сайт…
Кстати, у меня есть ещё парочка интересных сайтов для Вас.)
Можно потренироваться в решении примеров и узнать свой уровень. Тестирование с мгновенной проверкой. Учимся — с интересом!)
можно познакомиться с функциями и производными.
Дроби — это обычные числа, их тоже можно складывать и вычитать. Но из-за того, что в них присутствует знаменатель, здесь требуются более сложные правила, нежели для целых чисел.
Рассмотрим самый простой случай, когда есть две дроби с одинаковыми знаменателями. Тогда:
Чтобы сложить дроби с одинаковыми знаменателями, надо сложить их числители, а знаменатель оставить без изменений.
Чтобы вычесть дроби с одинаковыми знаменателями, надо из числителя первой дроби вычесть числитель второй, а знаменатель опять же оставить без изменений.
Внутри каждого выражения знаменатели дробей равны. По определению сложения и вычитания дробей получаем:
Как видите, ничего сложного: просто складываем или вычитаем числители — и все.
Но даже в таких простых действиях люди умудряются допускать ошибки. Чаще всего забывают, что знаменатель не меняется. Например, при сложении их тоже начинают складывать, а это в корне неправильно.
Избавиться от вредной привычки складывать знаменатели достаточно просто. Попробуйте сделать то же самое при вычитании. В результате в знаменателе получится ноль, и дробь (внезапно!) потеряет смысл.
Поэтому запомните раз и навсегда: при сложении и вычитании знаменатель не меняется!
Также многие допускают ошибки при сложении нескольких отрицательных дробей. Возникает путаница со знаками: где ставить минус, а где — плюс.
Эта проблема тоже решается очень просто. Достаточно вспомнить, что минус перед знаком дроби всегда можно перенести в числитель — и наоборот. Ну и конечно, не забывайте два простых правила:
- Плюс на минус дает минус;
- Минус на минус дает плюс.
Разберем все это на конкретных примерах:
Задача. Найдите значение выражения:
В первом случае все просто, а во втором внесем минусы в числители дробей:
Что делать, если знаменатели разные
Напрямую складывать дроби с разными знаменателями нельзя. По крайней мере, мне такой способ неизвестен. Однако исходные дроби всегда можно переписать так, чтобы знаменатели стали одинаковыми.
Существует много способов преобразования дробей. Три из них рассмотрены в уроке «Приведение дробей к общему знаменателю », поэтому здесь мы не будем на них останавливаться. Лучше посмотрим на примеры:
Задача. Найдите значение выражения:
В первом случае приведем дроби к общему знаменателю методом «крест-накрест». Во втором будем искать НОК. Заметим, что 6 = 2 · 3; 9 = 3 · 3. Последние множители в этих разложениях равны, а первые взаимно просты. Следовательно, НОК(6; 9) = 2 · 3 · 3 = 18.
Что делать, если у дроби есть целая часть
Могу вас обрадовать: разные знаменатели у дробей — это еще не самое большое зло. Гораздо больше ошибок возникает тогда, когда в дробях-слагаемых выделена целая часть.
Безусловно, для таких дробей существуют собственные алгоритмы сложения и вычитания, но они довольно сложны и требуют долгого изучения. Лучше используйте простую схему, приведенную ниже:
- Перевести все дроби, содержащие целую часть, в неправильные. Получим нормальные слагаемые (пусть даже с разными знаменателями), которые считаются по правилам, рассмотренным выше;
- Собственно, вычислить сумму или разность полученных дробей. В результате мы практически найдем ответ;
- Если это все, что требовалось в задаче, выполняем обратное преобразование, т.е. избавляемся от неправильной дроби, выделяя в ней целую часть.
Правила перехода к неправильным дробям и выделения целой части подробно описаны в уроке «Что такое числовая дробь ». Если не помните — обязательно повторите. Примеры:
Задача. Найдите значение выражения:
Здесь все просто. Знаменатели внутри каждого выражения равны, поэтому остается перевести все дроби в неправильные и сосчитать. Имеем:
Чтобы упростить выкладки, я пропустил некоторые очевидные шаги в последних примерах.
Небольшое замечание к двум последним примерам, где вычитаются дроби с выделенной целой частью. Минус перед второй дробью означает, что вычитается именно вся дробь, а не только ее целая часть.
Перечитайте это предложение еще раз, взгляните на примеры — и задумайтесь. Именно здесь начинающие допускают огромное количество ошибок. Такие задачи обожают давать на контрольных работах. Вы также неоднократно встретитесь с ними в тестах к этому уроку, которые будут опубликованы в ближайшее время.
Резюме: общая схема вычислений
В заключение приведу общий алгоритм, который поможет найти сумму или разность двух и более дробей:
- Если в одной или нескольких дробях выделена целая часть, переведите эти дроби в неправильные;
- Приведите все дроби к общему знаменателю любым удобным для вас способом (если, конечно, этого не сделали составители задач);
- Сложите или вычтите полученные числа по правилам сложения и вычитания дробей с одинаковыми знаменателями;
- Если возможно, сократите полученный результат. Если дробь оказалась неправильной, выделите целую часть.
Помните, что выделять целую часть лучше в самом конце задачи, непосредственно перед записью ответа.
Найдите числитель и знаменатель.
Дробь включает два числа: число, которое расположено над чертой, называется числителем, а число, которое находится под чертой – знаменателем. Знаменатель обозначает общее количество частей, на которые разбито некоторое целое, а числитель – это рассматриваемое количество таких частей.
- Например, в дроби ½ числителем является 1, а знаменателем 2.
Определите знаменатель.
Если две и более дроби имеют общий знаменатель, у таких дробей под чертой находится одно и то же число, то есть в этом случае некоторое целое разбито на одинаковое количество частей. Складывать дроби с общим знаменателем очень просто, так как знаменатель суммарной дроби будет таким же, как у складываемых дробей. Например:
- У дробей 3/5 и 2/5 общий знаменатель 5.
- У дробей 3/8, 5/8, 17/8 общий знаменатель 8.
Определите числители.
Чтобы сложить дроби с общим знаменателем, сложите их числители, а результат запишите над знаменателем складываемых дробей.
- У дробей 3/5 и 2/5 числители 3 и 2.
- У дробей 3/8, 5/8, 17/8 числители 3, 5, 17.
Сложите числители.
В задаче 3/5 + 2/5 сложите числители 3 + 2 = 5. В задаче 3/8 + 5/8 + 17/8 сложите числители 3 + 5 + 17 = 25.
Запишите суммарную дробь.
Помните, что при сложении дробей с общим знаменателем он остается без изменений – складываются только числители.
- 3/5 + 2/5 = 5/5
- 3/8 + 5/8 + 17/8 = 25/8
Если нужно, преобразуйте дробь.
Иногда дробь можно записать в виде целого числа, а не обыкновенной или десятичной дроби. Например, дробь 5/5 легко преобразуется в 1, так как любая дробь, у которой числитель равен знаменателю, есть 1. Представьте пирог, разрезанный на три части. Если вы съедите все три части, то вы съедите целый (один) пирог.
- Любую обыкновенную дробь можно преобразовать в десятичную; для этого разделите числитель на знаменатель. Например, дробь 5/8 можно записать так: 5 ÷ 8 = 0,625.
Если возможно, упростите дробь.
Упрощенная дробь – эта дробь, числитель и знаменатель которой не имеют общих делителей.
- Например, рассмотрим дробь 3/6. Здесь и у числителя, и у знаменателя есть общий делитель, равный 3, то есть числитель и знаменатель нацело делятся на 3. Поэтому дробь 3/6 можно записать так: 3 ÷ 3/6 ÷ 3 = ½.
Если нужно, преобразуйте неправильную дробь в смешанную дробь (смешанное число).
У неправильной дроби числитель больше знаменателя, например, 25/8 (у правильной дроби числитель меньше знаменателя). Неправильную дробь можно преобразовать в смешанную дробь, которая состоит из целой части (то есть целого числа) и дробной части (то есть правильной дроби). Чтобы преобразовать неправильную дробь, например, 25/8, в смешанное число, выполните следующие действия:
- Разделите числитель неправильной дроби на ее знаменатель; запишите неполное частное (целый ответ). В нашем примере: 25 ÷ 8 = 3 плюс некоторый остаток. В данном случае целый ответ – это целая часть смешанного числа.
- Найдите остаток. В нашем примере: 8 х 3 = 24; полученный результат вычтите из исходного числителя: 25 — 24 = 1, то есть остаток равен 1. В данном случае остаток – это числитель дробной части смешанного числа.
- Запишите смешанную дробь. Знаменатель не меняется (то есть равен знаменателю неправильной дроби), поэтому 25/8 = 3 1/8.
Действия с дробями. В этой статье разберём примеры, всё подробно с пояснениями. Рассматривать будем обыкновенные дроби. В дальнейшем разберём и десятичные. Рекомендую посмотреть весь и изучать последовательно.
1. Сумма дробей, разность дробей.
Правило: при сложении дробей с равными знаменателями, в результате получаем дробь – знаменатель которой остаётся тот же, а числитель её будет равен сумме числителей дробей.
Правило: при вычислении разности дробей с одинаковыми знаменателями получаем дробь – знаменатель остаётся тот же, а из числителя первой дроби вычитается числитель второй.
Формальная запись суммы и разности дробей с равными знаменателями:
Примеры (1):
Понятно, что когда даны обыкновенные дроби, то всё просто, а если смешанные? Ничего сложного…
Вариант 1
– можно перевести их в обыкновенные и далее вычислять.
Вариант 2
– можно отдельно «работать» с целой и дробной частью.
Примеры (2):
Ещё:
А если будет дана разность двух смешанных дробей и числитель первой дроби будет меньше числителя второй? Тоже можно действовать двумя способами.
Примеры (3):
*Перевели в обыкновенные дроби, вычислили разность, перевели полученную неправильную дробь в смешанную.
*Разбили на целые и дробные части, получили тройку, далее представили 3 как сумму 2 и 1, при чём единицу представили как 11/11, далее нашли разность 11/11 и 7/11 и вычислили результат. Смысл изложенных преобразований заключается в том, чтобы взять (выделить) единицу и представить её в виде дроби с нужным нам знаменателем, далее от этой дроби мы уже можем вычесть другую.
Ещё пример:
Вывод: имеется универсальный подход – для того, чтобы вычислить сумму (разность) смешанных дробей с равными знаменателями их всегда можно перевести в неправильные, далее выполнить необходимое действие. После этого если в результате получаем неправильную дробь переводим её в смешанную.
Выше мы рассмотрели примеры с дробями, у которых равные знаменатели. А если знаменатели будут отличаться? В этом случае дроби приводятся к одному знаменателю и выполняется указанное действие. Для изменения (преобразования) дроби используется основное свойство дроби.
Рассмотрим простые примеры:
В данных примерах мы сразу видим каким образом можно преобразовать одну из дробей, чтобы получить равные знаменатели.
Если обозначить способы приведения дробей к одному знаменателю, то этот назовём СПОСОБ ПЕРВЫЙ
.
То есть, сразу при «оценке» дроби нужно прикинуть сработает ли такой подход – проверяем делится ли больший знаменатель на меньший. И если делится, то выполняем преобразование — домножаем числитель и знаменатель так чтобы у обеих дробей знаменатели стали равными.
Теперь посмотрите на эти примеры:
К ним указанный подход не применим. Существуют ещё способы приведения дробей к общему знаменателю, рассмотрим их.
Способ ВТОРОЙ
.
Умножаем числитель и знаменатель первой дроби на знаменатель второй, а числитель и знаменатель второй дроби на знаменатель первой:
*Фактически мы приводим дроби к виду, когда знаменатели становятся равными. Далее используем правило сложения робей с равными знаменателями.
Пример:
*Данный способ можно назвать универсальным, и он работает всегда. Единственный минус в том, что после вычислений может получится дробь которую необходимо будет ещё сократить.
Рассмотрим пример:
Видно что числитель и знаменатель делится на 5:
Способ ТРЕТИЙ.
Необходимо найти наименьшее общее кратное (НОК) знаменателей. Это и будет общий знаменатель. Что это за число такое? Это наименьшее натуральное число, которое делится на каждое из чисел.
Посмотрите, вот два числа: 3 и 4, есть множество чисел, которые делятся на них – это 12, 24, 36, … Наименьшее из них 12. Или 6 и 15, на них делятся 30, 60, 90 …. Наименьшее 30. Вопрос – а как определить это самое наименьшее общее кратное?
Имеется чёткий алгоритм, но часто это можно сделать и сразу без вычислений. Например, по указанным выше примерам (3 и 4, 6 и 15) никакого алгоритма не надо, мы взяли большие числа (4 и 15) увеличили их в два раза и увидели, что они делятся на второе число, но пары чисел могут быть и другими, например 51 и 119.
Алгоритм. Для того, чтобы определить наименьшее общее кратное нескольких чисел, необходимо:
— разложить каждое из чисел на ПРОСТЫЕ множители
— выписать разложение БОЛЬШЕГО из них
— умножить его на НЕДОСТАЮЩИЕ множители других чисел
Рассмотрим примеры:
50 и 60 =>
50 = 2∙5∙5 60 = 2∙2∙3∙5
в разложении большего числа не хватает одной пятёрки
=> НОК(50,60) = 2∙2∙3∙5∙5 = 300
48 и 72 =>
48 = 2∙2∙2∙2∙3 72 = 2∙2∙2∙3∙3
в разложении большего числа не хватает двойки и тройки
=> НОК(48,72) = 2∙2∙2∙2∙3∙3 = 144
* Наименьшее общее кратное двух простых чисел равно их произведению
Вопрос! А чем полезно нахождение наименьшего общего кратного, ведь можно пользоваться вторым способом и полученную дробь просто сократить? Да, можно, но это не всегда удобно. Посмотрите, какой получится знаменатель для чисел 48 и 72, если их просто перемножить 48∙72 = 3456. Согласитесь, что приятнее работать с меньшими числами.
Рассмотрим примеры:
*51 = 3∙17 119 = 7∙17
в разложении большего числа не хватает тройки
=> НОК(51,119) = 3∙7∙17
А теперь применим первый способ:
*Посмотрите какая разница в вычислениях, в первом случае их минимум, а во втором нужно потрудиться отдельно на листочке, да ещё и дробь которую получили сократить необходимо. Нахождение НОК упрощает работу значительно.
Ещё примеры:
*Во втором примере и так видно, что наименьшее число, которое делится на 40 и 60 равно 120.
ИТОГ! ОБЩИЙ АЛГОРИТМ ВЫЧИСЛЕНИЙ!
— приводим дроби к обыкновенным, если есть целая часть.
— приводим дроби к общему знаменателю (сначала смотрим делится ли один знаменатель на другой, если делится то умножаем числитель и знаменатель этой другой дроби; если не делится действуем посредством других указанных выше способов).
— получив дроби с равными знаменателями, выполняем действия (сложение, вычитание).
— если необходимо, то результат сокращаем.
— если необходимо, то выделяем целую часть.
2. Произведение дробей.
Правило простое. При умножении дробей умножаются их числители и знаменатели:
Примеры:
Задача. На базу привезли 13 тонн овощей. Картофель составляет ¾ от всех завезённых овощей. Сколько килограмм картофеля завезли на базу?
С произведением закончим.
*Ранее обещал вам привести формальное объяснение основного свойства дроби через произведение, пожалуйста:
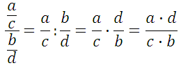
3. Деление дробей.
Деление дробей сводится к их умножению. Здесь важно запомнить, что дробь являющаяся делителем (та, на которую делят) переворачивается и действие меняется на умножение:
Данное действие может быть записано в виде так называемой четырёхэтажной дроби, ведь само деление «:» тоже можно записать как дробь:
Примеры:
На этом всё! Успеха вам!
С уважением, Александр Крутицких.

















